PH y Solubilidad

Seguro que has oído que el pH es muy importante en la vida, ¡por ejemplo en la digestión de los alimentos! La solubilidad de los compuestos depende del pH de la solución en la que se disuelven. Así que, ¡vamos a sumergirnos en el pH y la solubilidad !

Pruéablo tú mismo

Millones de tarjetas didácticas para ayudarte a sobresalir en tus estudios.

Regístrate gratis

Review generated flashcards

Regístrate gratis
Has alcanzado el límite diario de IA

Comienza a aprender o crea tus propias tarjetas de aprendizaje con IA

Equipo editorial StudySmarter

Equipo de profesores de PH y Solubilidad

  • Tiempo de lectura de 16 minutos
  • Revisado por el equipo editorial de StudySmarter
Guardar explicación Guardar explicación
Regístrate gratis para guardar, editar y crear tarjetas de memoria.
Guardar explicación Guardar explicación
  • Contenido verificado
  • Publicado el: 20.06.2024
  • Tiempo de lectura: 16 min
Tarjetas de estudio
Tarjetas de estudio
  • Contenido verificado
  • Última actualización: 01.01.1970
  • Tiempo de lectura: 16 min
  • Proceso de creación de contenido diseñado por
    Lily Hulatt Avatar
  • du contenu vérifiée par
    Gabriel Freitas Avatar
  • Calidad del contenido comprobada por
    Gabriel Freitas Avatar
Regístrate gratis para guardar, editar y crear tarjetas de memoria.
Guardar explicación Guardar explicación

Saltar a un capítulo clave

    • Este artículo trata sobre el pH y la solubilidad.
    • En primer lugar, hablaremos del pH, la solubilidad y su relación.
    • A continuación, veremos la solubilidad molar.
    • A continuación, profundizaremos en el pH y la solubilidad.
    • Por último, veremos la solubilidad de las proteínas y también la solubilidad de la hemicelulosa.

    Relación entre pH y solubilidad

    Empecemos por definir el pH.

    ElpH es una medida de la concentración de protones (iones H+ ) en una solución.

    Para saber si una solución se considera ácida o básica, utilizamos una escala de pH que va de 0 a 14. Aunque a veces el pH puede salirse de este intervalo, es muy raro que eso ocurra. Las soluciones ácidas tienen un pH inferior a 7, mientras que las soluciones básicas poseen un pH superior a 7. Una solución neutra es una solución que tiene concentraciones iguales de iones H+ y OH-.

    pH y Solubilidad la escala de pH Relación entre pH y Solubilidad StudySmarterFig. 1: La escala de pH, StudySmarter Originals.

    Veamos ahora la definición de solubilidad.

    La cantidad de una sustancia que puede disolverse en un volumen determinado de disolvente, a una temperatura especificada, se denomina solubilidad de esa sustancia.

    El disolvente es el líquido en el que se disuelven los compuestos (solutos).

    El soluto es una sustancia (compuesto) que se disuelve en un disolvente.

    Una solución es la combinación del disolvente y el soluto.

    Un compuesto que es miscible con algo podrá mezclarse con ello para formar una solución.

    La solubilidad y la separación de las mezclas están influidas por las interacciones entre las fuerzas intermoleculares. La regla general es que las sustancias con fuerzas intermoleculares similares tienden a ser miscibles entre sí.

    Para ser solubles, las fuerzas atractivas que se forman entre el soluto y el disolvente durante la formación de la solución tienen que ser comparables a las que se rompen en la separación de las moléculas del disolvente y a las que se rompen en la separación de las moléculas del soluto.

    ¿Sabías que la mezcla provoca un aumento de la entropía? La entropía está relacionada con el desorden o aleatoriedad de un sistema. Puedes aprender más sobre esto leyendo"Entropía".

    Sólidos iónicos y Ksp

    Los sólidosiónicos son sólidos que se mantienen unidos por enlaces iónicos. Los sólidos iónicos suelen ser más solubles a temperaturas más altas. Las sales se consideran compuestos iónicos. Cuando las sales se disuelven en agua, se disocian completamente en iones. Un ejemplo de sólido iónico es la sal de mesa, NaCl.

    NaCl ( s ) Na + + Cl -

    Al tratar con sólidos iónicos, hay una nueva constante con la que debes estar familiarizado. La constante del producto de solubilidad (Ksp) se denomina constante de equilibrio para un sólido iónico que se disocia en iones en el agua.

    ¡Veamos un ejemplo!

    Escribe la expresión Ksp para el MgCO3 en agua.

    Esta pregunta nos pide que escribamos una expresión de equilibrio de solubilidad para el MgCO3 en el agua. En primer lugar, necesitamos saber cómo se disocia el MgCO3 en el agua. Esto viene dado por la siguiente ecuación de equilibrio.

    MgCO 3 ( s ) Mg 2 + ( aq ) + CO 3 2 - ( aq )

    Recuerda que los sólidos y los líquidos (como el disolvente) no se incluyen en la expresión de equilibrio de solubilidad. Por tanto, la expresión Ksp para el MgCO3 en agua sería:

    K sp = [ Mg 2 + ] [ CO 3 2 - ]

    Si no estás seguro de lo que es Ksp , consulta"Constante del producto de solubilidad". También puedes profundizar en los sólidos iónicos leyendo "Sólidos iónicos".

    Lasolubilidad de una sal es sensible al pH cuando uno de los iones constituyentes es un ácido o una base débil. ¡Veamos los efectos del pH en la solubilidad de las sales!

    • Las salesácidas son más solubles en soluciones básicas (pH > 7), y menos solubles en soluciones ácidas.

    • Las salesbásicas son más solubles en soluciones ácidas (pH < 7), y menos solubles en soluciones básicas.

    • La solubilidad de las sales neutras no se ve afectada por un cambio de pH.

    Solubilidad molar y pH

    Acabamos de conocer la constante del producto de solubilidad, Ksp. Veamos ahora cómo calcular la solubilidad molar a partir de Ksp.

    La solubilidad molar es la concentración molar del sólido que se disocia en agua. En una tabla ICE, la solubilidad molar se representa como"x".

    La práctica hace al maestro, ¿verdad? Así que, ¡vamos a resolver un problema!

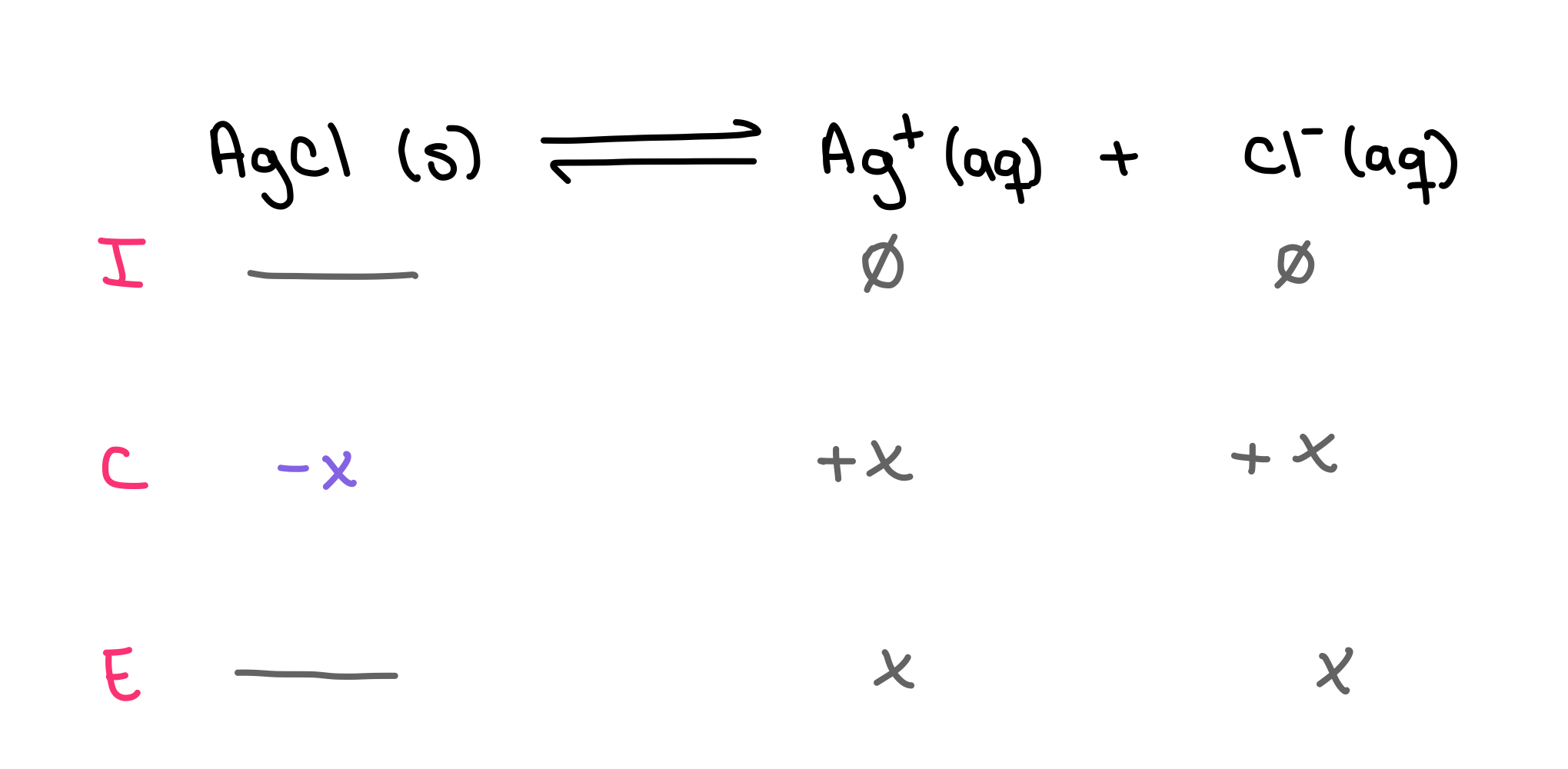
    Calcula la solubilidad molar del AgCl. (Ksp = 1,8 x 10-10)

    AgCl ( s ) Ag + ( aq ) + Cl - ( aq )

    En el agua, el AgCl se disocia en iones Ag+ y Cl-. La expresión de equilibrio Ksp se escribe como: K sp = [ Ag + ] [ Cl - ] .

    Lo primero que tenemos que hacer es establecer una tabla ICE para este proceso. Las siglas "ICE" significan"Concentracióninicial", "Cambiode concentración" y"Ecuaciónde concentración".

    Así, inicialmente, no tenemos iones en la solución, por lo que la concentración de Ag+ y Cl- es cero. A medida que el AgCl se disocia, vamos a tener un cambio (una ganancia) de +x para ambos iones, Ag+ y Cl-. Finalmente, en el equilibrio, sumamos los términos de las líneas "I" y "C" y luego sustituimos los términos de la línea "E" en la ecuación para Ksp.

    Como el AgCl es un sólido que se disuelve con el tiempo, lo único que tenemos que añadir sobre él en el gráfico ICE es el cambio. Para mostrar que el AgCl disminuye, utilizamos un cambio (una pérdida) de " -x" , ¡porque la concentración molar del sólido disminuye a medida que se disuelve en agua! En otras palabras, la propia variable x representa, en efecto, la solubilidad mol ar del AgCl.

    Tabla ICE de pH y solubilidad para la disociación del AgCl Solubilidad molar y pH StudySmarterFig. 2: Gráfico ICE para la disociación del AgCl, StudySmarter Originals.

    Ahora, tenemos que resolver el valor de x utilizando la expresión de equilibrio.

    $$K_{sp}=[Ag^{+}]\cdot [Cl^{-}]\cdot 1,8\cdot 10^{-10}=x^{2}\sqrt{1,8\cdot 10^{-10}}=x$$

    $$x=1,3\cdot 10^{-5}$$

    Por tanto, la solubilidad molecular del AgCl es de 1,3 - 10-5 M.

    El ejemplo anterior implicaba el cálculo de la solubilidad molar a partir del Ksp. Pero, ¿y si nos pidieran calcular el Ksp a partir de la solubilidad molar? Veamos un ejemplo.

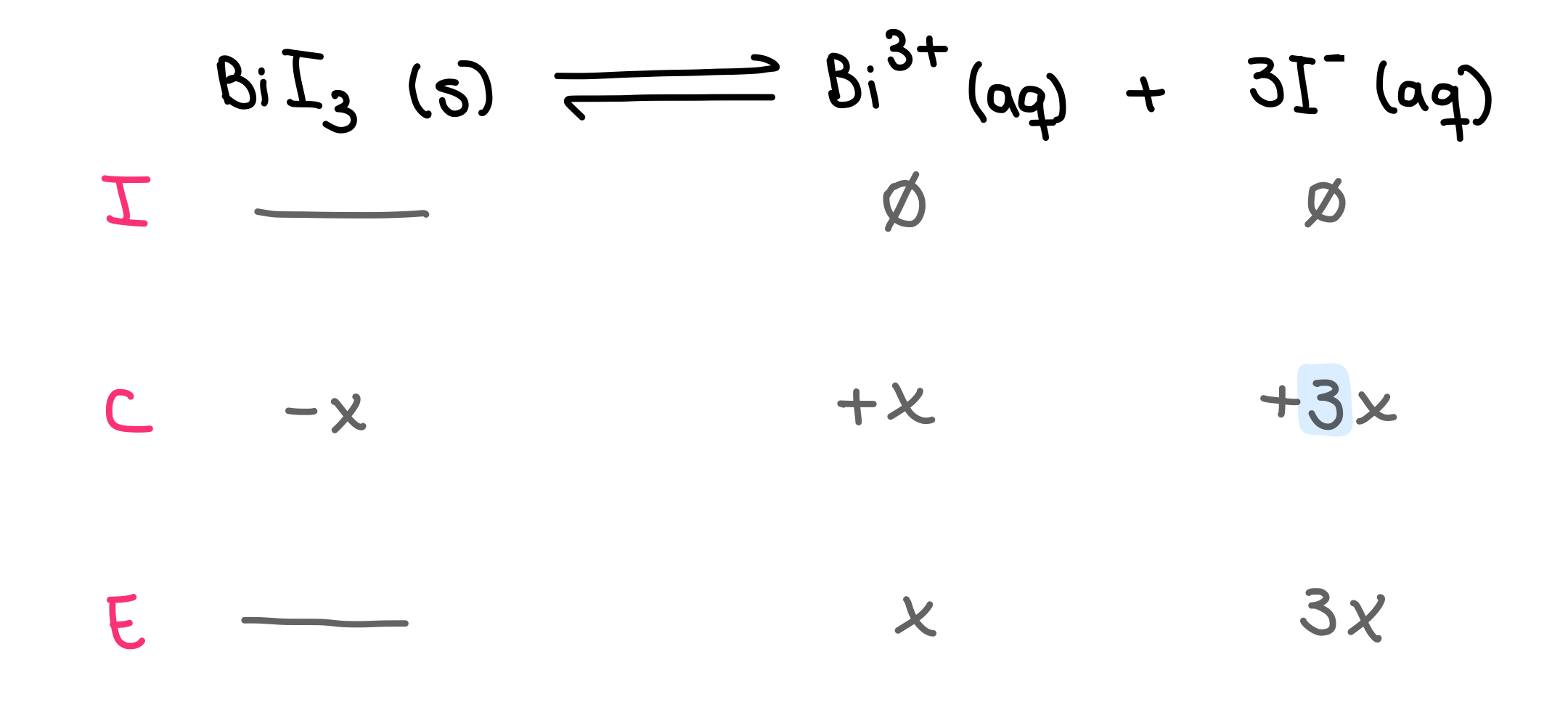
    El BiI3tiene una solubilidad molar de 1,32 x 10-5 M. Calcula la constante del producto de solubilidad, Ksp.

    BiI 3 ( s ) Bi 3 + ( aq ) + 3 I - ( aq )

    En este caso, la expresión de equilibrio Ksp sería: K sp = [ Bi 3 + ] [ I - ] 3 . Ahora, si decidiéramos hacer un gráfico ICE, tendríamos:

    Tabla ICE de pH y solubilidad para la disociación del yoduro de bismuto(III) Solubilidad molar y pH StudySmarterFig. 3: Gráfico ICE para la disociación del yoduro de bismuto (III), StudySmarter Originals.

    El objetivo de este problema es calcular Ksp. Por tanto, podemos utilizar la expresión de equilibrio y el valor de solubilidad molar dado por la pregunta para resolver el Ksp.

    $$K_{sp}=[Bi^{3+}][I^{-}]^{3}=x\cdot x^{3}=27x^{4}$$

    $$K_{sp}=27(1,32\cdot 10^{-5})^{4}=8,20\cdot 10^{-19}$$

    Observa que, en este caso, sustituimos x por el valor de solubilidad molar dado y, a continuación, resolvemos la constante del producto de solubilidad, Ksp.

    Esta forma de resolver el Ksp a partir de la solubilidad molar sólo funciona cuando no hay iones comunes presentes. Consulta el"Efecto de los iones comunes" para saber más.

    Cálculos de solubilidad y pH

    Ahora bien, cuando las sales reaccionan con el agua, producen un catión y un anión. Este proceso se denomina hidrólisis.

    Generalmente, los cationes tienden a tener el potencial de actuar como un ácido, mientras que el anión tiene el potencial de actuar como una base. En otras palabras, la mayoría de los cationes se consideran ácidos, mientras que la mayoría de los aniones se consideran básicos.

    Sin embargo, no todos los iones tienen el potencial de actuar como un ácido o una base. Algunos de ellos no poseen carácter ácido/básico y, por tanto, no pueden cambiar ni influir en el pH del agua. Se dice que estos iones tienen una acidez o basicidad despreciable, y se puede pensar en ellos como iones neutros, o iones despreciables.

    Un ion despreciable es una especie iónica que tiene una fuerza hidrolítica (de división del agua) despreciable.

    Antes de sumergirnos en la solubilidad de las sales, debemos repasar algunas reglas utilizadas para identificar a los cationes y aniones despreciables.

    • Se dice que la mayoría de los cationes son ácidos. Pero los iones metálicos de los grupos 1 y 2 (o cualquier metal de transición con carga +1) se consideran despreciables.
    • La mayoría de los aniones, en cambio, tienden a ser básicos (excepto el anión HSO4-, que es ácido). Otras excepciones son las bases conjugadas de los ácidos fuertes, que en su mayoría son despreciables.
    Cationes despreciablesAniones despreciables
    Iones metálicos del grupo 1 (Li+, Na+, K+, Rb+, Cs+)Bases conjugadas de ácidos fuertes (Cl-, Br-, I-, NO3-, ClO4-, ClO3-)
    Iones metálicos del grupo 2 (Mg2+, Ca2+, Sr2+, Ba2+)Casi todos los demás aniones son aniones básicos (excepto el HSO4-, que es ácido)
    Iones de metales de transición con carga +1 (Ej. Ag+)
    Todos los demás cationes se consideran cationes ácidos

    Ya hemos visto que las salesácidas son más solubles en soluciones básicas (pH > 7), mientras quelas salesbásicas son más solubles en soluciones ácidas (pH < 7). Tomemos como ejemplo el fluoruro de bario (BaF2).

    ¿Cómo podemos saber si el BaF2 es una sal ácida, básica o neutra?

    En primer lugar, observa la fórmula del fluoruro de bario e identifica si hay algún ion despreciable presente. El Ba2+ es un catión ácido despreciable y, por tanto, se considera despreciable y no cuenta. El F- no está en la lista, por lo que no es despreciable.

    Los iones F- (como anión) se consideran básicos. Por lo tanto, ¡podemos decir que el BaF2 es una sal básica!

    Conozcamos con más detalle los efectos del pH sobre la solubilidad. Podemos empezar por ver por qué las sales básicas son más solubles en soluciones ácidas. Utilicemos el BaF2como nuestra sal básica.

    BaF 2 ( s ) Ba 2 + ( aq ) + 2 F - ( aq )

    Según el efecto iónico común, la adición de cualquier electrolito fuerte que contenga iones bario o fluoruro hará que el equilibrio se desplace hacia el lado izquierdo, reduciendo la solubilidad del BaF2.

    Pero, si quisiéramos aumentar su solubilidad, ¿qué podríamos hacer? Digamos que preparamos una solución de BaF2 que está saturada (o que tiene disuelta la máxima cantidad de BaF2 ) y que además está en equilibrio. Si le añadimos cualquier solución ácida (pH < 7), los iones H+ añadidos reaccionarán con los iones fluoruro, formando HF. Esto hará que el equilibrio se desplace hacia la derecha, obligando a que se disuelva más BaF2 en esa solución ácida, ¡creando más iones F- y haciendo que la reacción vuelva al equilibrio!

    Veamos ahora por qué las sales ácidas son más solubles en soluciones básicas. Por ejemplo, Al(NO3)3 es una sal ácida (Al3+ es un catión ácido, y NO3- es un anión despreciable). Si lo añades a una solución básica (pH > 7), los iones Al3+ reaccionarán con los iones OH- añadidos para formar Al(OH)3. Del mismo modo, esto hará que el equilibrio se desplace hacia el lado derecho, obligando a más Al(NO3) a disolverse en esa solución básica (volverse más soluble), ¡creando más iones Al3+ y haciendo que la reacción vuelva al equilibrio!

    Veamos un problema relacionado con la solubilidad.

    ¿Qué pasaría si añadieras un ácido fuerte al oxalato de plomo, PbC2O4? (Ksp = 4,8-10-10)

    PbC 2 O 4 ( s ) Pb 2 + ( aq ) + C 2 O 4 2 - ( aq )

    Si añadieras un ácido fuerte a una disolución saturada de oxalato de plomo, los iones H+ del ácido añadido reaccionarían con el ion oxalato para formar HO2CCO2H(aq).

    C 2 O 4 2 - ( aq ) + H + ( aq ) HO 2 CCO 2 - ( aq ) HO 2 CCO 2 - ( aq ) + H + ( aq ) HO 2 CCO 2 H ( aq )

    Esta disminución de los iones oxalato hará que se disuelva más oxalato de plomo en la solución ácida para reponer los iones oxalato y devolver el sistema al equilibrio.

    El pH y la solubilidad de las proteínas

    Cuando cambia el pH del entorno de una proteína, también lo hace su solubilidad. Fijémonos en la proteína caseína. La caseína es la principal proteína de la leche, y es una fosfoproteína. Esto significa que tiene un grupo fosfato unido a la cadena de aminoácidos en su estructura polipeptídica.

    A un pH intermedio (pH 2-pH 10), la caseína es prácticamente insoluble porque tendría el mismo número de iones cargados positiva y negativamente. Por tanto, la caseína tendría una carga neta de cero.

    El pH al que una proteína contiene una carga neta cero se denomina punto isoeléctrico.

    Ahora bien, si la añadiéramos a una solución diluida de NaOH (solución de pH elevado), la caseína tendría una carga neta negativa debido a la ionización de sus cadenas laterales ácidas. Esto haría que se volviera soluble.

    La caseína también es soluble en soluciones fuertemente ácidas. Al añadirla a una solución de pH bajo, se produciría la protonación de sus cadenas laterales básicas, lo que haría que la caseína tuviera una carga neta positiva.

    pH y solubilidad Estructuras de la caseína a diferentes pH pH y solubilidad de la proteína EstudioSmarterFig. 4: Estructuras de la caseína a distintos pH, Isadora Santos - StudySmarter Originals.

    El pH ácido y la solubilidad de la hemicelulosa

    Las hemicelulosas son un componente estructural de las células vegetales. Son polisacáridos de la pared celular, capaces de unirse fuertemente a las microfibrillas de celulosa mediante enlaces de hidrógeno.

    Las hemicelulosas son un grupo de polisacáridos de la pared celular.

    Un enlace de hidrógeno es un enlace relativamente débil en el que intervienen dos átomos electronegativos e hidrógeno entre ellos. Por ejemplo, el agua es un líquido que forma un alto grado de enlaces de hidrógeno dentro de su estructura.

    El xiloglucano es un tipo de hemicelulosa que se encuentra en las paredes primarias de todas las plantas terrestres. Se dice que los xiloglucanos tienen enlaces de hidrógeno con la celulosa y enlaces covalentes con las pectinas. Ayudan a la celulosa a soportar la carga.

    La mayoría de las hemicelulosas se consideran más solubles en soluciones alcalinas (pH > 7) que en soluciones con pH bajo. En agua, la mayoría de las hemicelulosas son insolubles.

    pH y solubilidad Diagrama de la célula vegetal ph ácido y solubilidad de la hemicelulosa StudySmarterFig. 5: Diagrama de la pared celular vegetal, Wikimedia Commons.

    pH y solubilidad - Puntos clave

    • Lasolubilidad de una sustancia es la cantidad de sustancia que puede disolverse en una cantidad determinada de disolvente a una temperatura dada.
    • ElpH es una medida de la concentración de protones (iones H+ ) en una solución.
    • Las salesácidas son más solubles en soluciones básicas (pH > 7), y menos solubles en soluciones ácidas.Las sales básicas son más solubles en soluciones ácidas (pH < 7), y menos solubles en soluciones básicas. La solubilidad de las sales neutras no se ve afectada por el cambio de pH.
    • Lasolubilidad molar es la concentración molar del sólido que se disocia en agua.

    Referencias

    1. "Curso de Química General de Chad: Efectos del PH en la Solubilidad". Chad's Prep -- DAT, MCAT, OAT & Science Prep, courses.chadsprep.com/courses/take/general-chemistry-1-and-2/quizzes/2570261-17-6-ph-effects-on-solubility-4-questions.
    2. El PH y la solubilidad de las proteínas. https://www.flinnsci.com/api/library/Download/25c26f81fcae4cccadbe40045f38a646.
    3. "Hemicelulosa - una visión general | Temas de ScienceDirect". Sciencedirect.com, 2009, www.sciencedirect.com/topics/agricultural-and-biological-sciences/hemicellulose.
    4. Cheng, Heli, et al. "Extracción alcalina del estiércol". BioResources, vol. 11, nº 1, 2010, pp. 196-206, bioresources.cnr.ncsu.edu/BioRes_06/BioRes_06_Unsecured/BioRes_06_1_0196_Cheng_ZFL_Alk_Etrac_Hemicel_Stover_Pulping_1289.pdf. Consultado el 26 de junio de 2022.
    5. "18.7: Solubilidad y PH". Chemistry LibreTexts, 26 nov. 2013, chem.libretexts.org/Bookshelves/General_Chemistry/Map%3A_General_Chemistry_(Petrucci_et_al.)/18%3A_Solubility_and_Complex-Ion_Equilibria/18.7%3A_Solubility_and_pH.

    Preguntas frecuentes sobre PH y Solubilidad

    ¿Qué es el pH?
    El pH mide la acidez o alcalinidad de una solución. Valores menores a 7 indican acidez, 7 es neutro y mayores a 7 indican alcalinidad.
    ¿Cómo se mide el pH?
    El pH se mide usando papel tornasol, indicadores líquidos o un medidor de pH digital que mide la concentración de iones de hidrógeno.
    ¿Qué es la solubilidad en química?
    La solubilidad es la capacidad de una sustancia para disolverse en un solvente, formando una solución homogénea.
    ¿Cómo afecta el pH a la solubilidad?
    El pH puede alterar la solubilidad de ciertas sustancias, ya que puede cambiar su ionización y, por ende, su capacidad de disolverse.
    Guardar explicación
    Pon a prueba tus conocimientos con tarjetas de opción múltiple

    ¿Cuál de las siguientes es la definición correcta de pH?

    ¿Cuál es el rango de la escala de pH?

    _____ las soluciones tienen un pH inferior a 7

    Siguiente

    ¿Cómo te aseguras de que tu contenido sea preciso y confiable?

    En StudySmarter, has creado una plataforma de aprendizaje que atiende a millones de estudiantes. Conoce a las personas que trabajan arduamente para ofrecer contenido basado en hechos y garantizar que esté verificado.

    Proceso de creación de contenido:
    Lily Hulatt Avatar
    Lily Hulatt

    Especialista en Contenido Digital

    Lily Hulatt es una especialista en contenido digital con más de tres años de experiencia en estrategia de contenido y diseño curricular. Obtuvo su doctorado en Literatura Inglesa en la Universidad de Durham en 2022, enseñó en el Departamento de Estudios Ingleses de la Universidad de Durham y ha contribuido a varias publicaciones. Lily se especializa en Literatura Inglesa, Lengua Inglesa, Historia y Filosofía.

    Conoce a Lily
    Control de calidad del contenido:
    Gabriel Freitas Avatar
    Gabriel Freitas

    Ingeniero en Inteligencia Artificial

    Gabriel Freitas es un ingeniero en inteligencia artificial con una sólida experiencia en desarrollo de software, algoritmos de aprendizaje automático e IA generativa, incluidas aplicaciones de grandes modelos de lenguaje (LLM). Graduado en Ingeniería Eléctrica de la Universidad de São Paulo, actualmente cursa una maestría en Ingeniería Informática en la Universidad de Campinas, especializándose en temas de aprendizaje automático. Gabriel tiene una sólida formación en ingeniería de software y ha trabajado en proyectos que involucran visión por computadora, IA integrada y aplicaciones LLM.

    Conoce a Gabriel Gabriel
    Descubre materiales de aprendizaje con la aplicación gratuita StudySmarter
    Regístrate gratis
    1

    Acerca de StudySmarter

    StudySmarter es una compañía de tecnología educativa reconocida a nivel mundial, que ofrece una plataforma de aprendizaje integral diseñada para estudiantes de todas las edades y niveles educativos. Nuestra plataforma proporciona apoyo en el aprendizaje para una amplia gama de asignaturas, incluidas las STEM, Ciencias Sociales e Idiomas, y también ayuda a los estudiantes a dominar con éxito diversos exámenes y pruebas en todo el mundo, como GCSE, A Level, SAT, ACT, Abitur y más. Ofrecemos una extensa biblioteca de materiales de aprendizaje, incluidas tarjetas didácticas interactivas, soluciones completas de libros de texto y explicaciones detalladas. La tecnología avanzada y las herramientas que proporcionamos ayudan a los estudiantes a crear sus propios materiales de aprendizaje. El contenido de StudySmarter no solo es verificado por expertos, sino que también se actualiza regularmente para garantizar su precisión y relevancia.

    Aprende más
    Equipo editorial StudySmarter

    Equipo de profesores de Química

    • Tiempo de lectura de 16 minutos
    • Revisado por el equipo editorial de StudySmarter
    Guardar explicación Guardar explicación
    Guardar explicación
    Sign-up for free

    Regístrate para poder subrayar y tomar apuntes. Es 100% gratis.