En el artículo sobre Continuidad, aprendimos tres criterios necesarios para que una función sea continua. Recordemos que estos tres criterios deben cumplirse para que exista continuidad en un punto. Consideremos por un momento el tercer criterio "el límite a medida que x se acerca a un punto debe ser igual al valor de la función en ese punto". ¿Y si, por ejemplo, esto no se cumple (pero el límite sigue existiendo)? ¿Qué aspecto tendría? ¡Lo llamamos discontinuidad removible (también conocida como agujero)! Veámoslo con más detalle.
Punto de discontinuidad removible
Volvamos al escenario de la introducción. ¿Qué ocurre si el límite existe, pero no es igual al valor de la función? Recuerda que al decir que el límite existe lo que estás diciendo en realidad es que es un número, no el infinito.
Si una función \(f(x)\) no es continua en \(x=p\), y
\[lim_{x \rightarrow p} f(x)\]
existe, entonces decimos que la función tiene una discontinuidad removible en \(x=p\).
Aquí definimos \(x=p\) como un punto de discontinuidad removible.
Vale, eso está muy bien, pero ¿qué aspecto tiene una discontinuidad extraíble? Considera la siguiente imagen.
Fig. 1. Ejemplo de función con discontinuidad removible en \(x = p\).
En esta imagen, la gráfica tiene una discontinuidad eliminable (es decir, un agujero) y el valor de la función en \(x=p\) es \(4\) en lugar del \(2\) que necesitarías que fuera si quisieras que la función fuera continua. Si en lugar de eso se rellenara ese hueco con el punto que hay sobre él, y se eliminara el punto que flota allí, la función pasaría a ser continua en \(x=p\). Esto se llama discontinuidad eliminable.
Ejemplo de discontinuidad extraíble
Veamos algunas funciones y determinemos si tienen discontinuidades eliminables.
Gráfica de discontinuidad removible
¿Tiene la función \(f(x)=\dfrac{x^2-9}{x-3}\) una discontinuidad eliminable en \(x=3\) ?
Responde:
En primer lugar, observa que la función no está definida en \(x=3\), por lo que no es continua en ese punto. Si la función es continua en \(x=3\), ¡seguro que allí no tiene una discontinuidad eliminable! Así que ahora tienes que comprobar el límite:
\lim_{x \rightarrow 3} f(x)\}]
Como el límite de la función existe, la discontinuidad en \(x=3\) es una discontinuidad eliminable. Si graficamos la función obtenemos
Fig, 1. Esta función tiene un hueco en \(x=3\) porque el límite existe, sin embargo, \(f(3)\) no existe.
Fig. 2. Ejemplo de función con discontinuidad eliminable en \(x = 3\).
Como ves, hay un agujero en la gráfica.
Discontinuidades no eliminables
Si algunas discontinuidades pueden eliminarse, ¿qué significa que no sean eliminables? Si nos fijamos en la definición de discontinuidad removible, la parte que puede fallar es que el límite no exista. Las discontinuidades no eliminables se refieren a otros dos tipos principales de discontinuidades: las discontinuidades de salto y las discontinuidades infinitas/asintóticas. Puedes aprender más sobre ellas en Discontinuidad en salto y Continuidad en un intervalo.
Gráfico de discontinuidad no removible
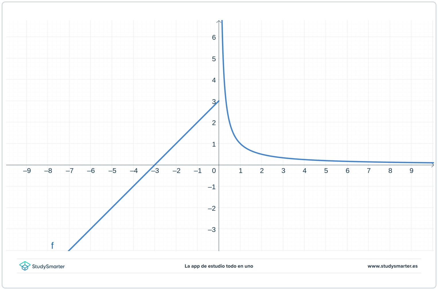
Observando la gráfica de la función definida a trozos que aparece a continuación, ¿tiene un punto de discontinuidad removible o no removible en \(x=0\)? Si no es desmontable, ¿es una discontinuidad infinita?

Fig. 3. Función con discontinuidad no removible.
Contesta:
Observando la gráfica puedes ver que
\[lim_{x \rightarrow 0^-}f(x)=3\]
y que
\lim_x flecha derecha 0^+]f(x)=infty].
lo que significa que la función no es continua en \(x=0\). De hecho, tiene una asíntota vertical en \(x=0\). Como esos dos límites no son el mismo número, la función tiene una discontinuidad no eliminable en \(x=0\). Como uno de esos límites es infinito, sabes que tiene una discontinuidad infinita en \(x=0\).
Límite de discontinuidad removible
¿Cómo puedes saber si la discontinuidad de una función es removible o no removible? ¡Basta con mirar el límite!
Si el límite por la izquierda en \(p\) y por la derecha en \ (p\) son el mismo número, pero ése no es el valor de la función en \(p\) o la función no tiene valor en \(p\), entonces hay una discontinuidad removible.
Si el límite por la izquierda en \(p\), o el límite por la derecha en \(p\), es infinito, entonces hay un punto de discontinuidad no removible, y se llama discontinuidad infinita.
¿Qué tipo de discontinuidad, si la hay, tiene la función de la gráfica en \(p\)?

Fig. 4. Esta función tiene una discontinuidad eliminable en \(x=p\) porque el límite está definido, sin embargo,\( f(p)\) no existe.
Contesta:
Puedes ver mirando la gráfica que la función ni siquiera está definida en \(p\). Sin embargo, el límite por la izquierda en \(p\) y el límite por la derecha en \(p\) son iguales, por lo que la función tiene un punto de discontinuidad removible en \(p\). Intuitivamente, tiene una discontinuidad eliminable porque si sólo rellenaras el agujero de la gráfica, la función sería continua en \(p\). En otras palabras, eliminar la discontinuidad significa cambiar sólo un punto de la gráfica.
¿Qué tipo de discontinuidad, si la hay, tiene la función de la gráfica en \(p\)?

Fig. 5. Esta función está definida en todas partes.
A diferencia del ejemplo anterior, observando la gráfica puedes ver que la función está definida en \(p\). Sin embargo, el límite por la izquierda en \(p\) y el límite por la derecha en \(p\) son iguales, por lo que la función tiene un punto de discontinuidad eliminable en \(p\). Intuitivamente, tiene una discontinuidad removible porque si sólo cambiaras la función para que en lugar de tenerla rellenara el hueco, la función sería continua en \(p\).
Observando la gráfica de la función definida a trozos que aparece a continuación, ¿tiene una discontinuidad removible, no removible o ninguna de las dos?

Fig. 6. Gráfica de una función con discontinuidad en \(x=2\), StudySmarter Original.
Contesta:
Esta función claramente no es continua en \(2\) porque el límite por la izquierda en \(2\) no es el mismo que el límite por la derecha en \(2\). De hecho
\lim_{x \rightarrow 2^-}f(x)=4\]
y
\lim_{x \rightarrow 2^+}f(x)=1] .
Por tanto, sabemos que
- el límite por la izquierda en \(2\) y el límite por la derecha en \(2\) no tienen el mismo valor
- el límite por la izquierda no es infinito, y el límite por la derecha tampoco es infinito en \(2\),
Por tanto, esta función tiene una discontinuidad no eliminable en \(2\), sin embargo, no es una discontinuidad infinita.
En el ejemplo anterior, la función tiene una discontinuidad de salto en \(x=2\). Para más información sobre cuándo ocurre esto, consulta Discontinuidad en salto
Observando la gráfica siguiente, ¿tiene la función un punto de discontinuidad removible o no removible en \(x=2\)?

Fig. 7. Gráfica de una función con una discontinuidad en \(x = 2\).
Contesta:
Esta función tiene una asíntota vertical en \(x=2\). En efecto
\[lim_{x \rightarrow 2^-}f(x)= -\infty\]
y
\lim_{x \arrowright 2^+}f(x)= \infty\]].
Por tanto, esta función tiene un punto de discontinuidad infinito. Se llama discontinuidad infinita porque uno de los límites es infinito.
Discontinuidad removible - Puntos clave
- Si una función no es continua en un punto, decimos que "tiene un punto de discontinuidad en este punto".
- Si una función no es continua en un punto, decimos que la función tiene una discontinuidad removible en este punto si existe el límite en este punto.
- Si la función tiene una discontinuidad removible en un punto, entonces se llama punto de discontinuidad removible (o agujero).