Límites Unilaterales

Al cruzar la calle, miras a izquierda y derecha para asegurarte de que no hay problemas antes de cruzar. Cuando encuentres los límites de la función, haz lo mismo, ¡mira a izquierda y derecha!

Pruéablo tú mismo

Millones de tarjetas didácticas para ayudarte a sobresalir en tus estudios.

Regístrate gratis

Review generated flashcards

Regístrate gratis
Has alcanzado el límite diario de IA

Comienza a aprender o crea tus propias tarjetas de aprendizaje con IA

Equipo editorial StudySmarter

Equipo de profesores de Límites Unilaterales

  • Tiempo de lectura de 13 minutos
  • Revisado por el equipo editorial de StudySmarter
Guardar explicación Guardar explicación
Regístrate gratis para guardar, editar y crear tarjetas de memoria.
Guardar explicación Guardar explicación
  • Contenido verificado
  • Publicado el: 20.06.2024
  • Tiempo de lectura: 13 min
Tarjetas de estudio
Tarjetas de estudio
  • Contenido verificado
  • Última actualización: 01.01.1970
  • Tiempo de lectura: 13 min
  • Proceso de creación de contenido diseñado por
    Lily Hulatt Avatar
  • du contenu vérifiée par
    Gabriel Freitas Avatar
  • Calidad del contenido comprobada por
    Gabriel Freitas Avatar
Regístrate gratis para guardar, editar y crear tarjetas de memoria.
Guardar explicación Guardar explicación

Saltar a un capítulo clave

    Límites unilaterales en cálculo

    Generalmente, los llamamos límite por la izquierda o límite por la derecha porque miras específicamente a la izquierda o a la derecha de un punto concreto.

    Para repasar la definición de límite de una función, consulta Límites de una función.

    Definición de límites unilaterales

    ¿Cómo podemos definir formalmente los "límites unilaterales" en cálculo? ¡Echemos un vistazo!

    Decimos que \(L\) es el límite izquierdo de una función \(f(x)\) en \(a\) si podemos obtener \(f(x)\) tan cerca de \(L\) como queramos tomando \(x\) en el lado izquierdo de \(a\), y cerca de \(a\) pero no igual a \(a\). Se escribe

    \[lim_{x \rightarrow a^-}f(x)\].

    .

    También se llama límite por la izquierda de una función. También puedes ver el límite por la derecha de una función.

    Decimos que \(L\) es el límite derecho de una función \(f(x)\) en \(a\) si podemos obtener \(f(x)\) tan cerca de \(L\) como queramos tomando \(x\) en el lado derecho de \(a\), y cerca de \(a\) pero no igual a \(a\). Se escribe

    \[ lim_{x \rightarrow a^-} f(x) \]

    Lo bueno es que si el límite de la función existe, entonces tanto el límite de la izquierda como el de la derecha existen y son iguales.

    Cada uno de los resultados que aparecen a continuación se derivan simplemente de la definición del límite, del límite de la izquierda y del límite de la derecha. Son una consecuencia inmediata de las definiciones y, por tanto, no requieren una demostración rebuscada.

    1. Supongamos que

    \[lim_{x \rightarrow a} f(x)=L\]

    donde \(L\) es un número real. Entonces

    \[lim_{x \rightarrow a^+} f(x)=L\]

    y

    \lim_x \rightarrow a^-} f(x)=L\].

    2. Del mismo modo, si

    \lim_{x \rightarrow a^+} f(x)=L= lim_{x \rightarrow a^-} f(x)\}].

    entonces

    \lim_x \rightarrow a} f(x)=L].

    Observa que esto te proporciona una forma práctica de saber si el límite no existe, simplemente utilizando el contrapositivo de la parte 2.

    3. Si

    lim_{x \rightarrow a^+} f(x) \neq lim_{x \rightarrow a^-} f(x)\neq lim_{x \rightarrow a^-} f(x)\neq lim_{x \rightarrow a^-} f(x)\}

    entonces

    \no existe.

    no existe.

    Puedes leer \(x flecha derecha a^+\) como "\(x\) acercándose a \(a\) por la derecha", y \(x flecha derecha a^-\) como "\(x\) acercándose a \(a\) por la izquierda".

    Encontrar límites unilaterales

    Entonces, ¿cómo puedes averiguar cuál es el límite izquierdo o derecho de una función? Puedes determinar los límites unilaterales observando

    1. La gráfica de una función, O

    2. Una tabla de valores de la función

    Veamos un ejemplo concreto.

    Utilizando la función

    \[ f(x) \Biggl\{ {comienza{matriz}1 x< 2 \3 x \geq 2\final{matriz} \]

    encontrar

    \lim_{x \rightarrow 2^-} f(x)\}]

    y

    \lim_{x \rightarrow 2^+} f(x)\}

    ¿Qué te dice esto sobre

    \¿[lim_{x \rightarrow 2} f(x)?\}

    Respuesta:

    En primer lugar, observemos el límite desde la izquierda. En la gráfica de abajo, puedes ver la función, y también una tabla de valores de la función que se acercan a \(x=2\) desde la izquierda, y los puntos de la tabla trazados en la gráfica.

    \(x\)\(f(x)\)
    11
    1.51
    1.751
    1.91
    1.951
    1.991

    Tabla 1. Datos del ejemplo límite.

    Límites unilaterales límite de la izquierda mediante tabla gráfica StudySmarterFig. 1. Límite por la izquierda utilizando una gráfica y una tabla.

    Como puedes ver en la gráfica anterior, a medida que \(x \-arrow 2^-\), todos los valores de la función son iguales a \(1\). Por tanto,

    \[lim_{x \rightarrow 2^-} f(x)=1\]

    Ahora, en cambio, observemos el límite por la derecha. En la gráfica siguiente, puedes ver la función, una tabla de valores de la función que se acercan a \(x=2\) desde la derecha, y los puntos de la tabla trazados en la gráfica.

    \(x\)\(f(x)\)
    33
    2.53
    2.253
    2.13
    2.053
    2.013

    Tabla 2. Datos de la función de ejemplo.

    Límites unilaterales límite desde la derecha mediante tabla gráfica StudySmarterFig. 2. Límite de una función por la derecha mediante una gráfica y una tabla.

    Como puedes ver en la gráfica anterior, como \(x \rightarrow 2^+\), todos los valores de la función son iguales a \(3\). Por tanto,

    \[lim_{x \rightarrow 2^-} f(x)=3\\]

    Por último, como sabes que

    \lim_x \rightarrow 2^-} f(x) \neq lim_x \rightarrow 2^+} f(x)\}

    también sabes que

    \no existe.

    no existe.

    Ejemplos de límites unilaterales

    Veamos más ejemplos de determinación de límites unilaterales.

    Considera la función

    \[f(x)= \dfrac{|x|}{x}\]

    Halla los límites por la izquierda y por la derecha de \(x=0\).

    Contesta:

    En lugar de pensar en esta función como si tuviera un valor absoluto, puede ser útil pensar en los posibles valores de \(x\). Veamos aquí los casos posibles de \(3\):

    1. Cuando \(x=0\), esta función no está definida.
    2. Cuando \(x\) es negativo, \(f(x)=-1\).
    3. Cuando \(x\) es positivo, \(f(x)=1\).

    Así que puedes pensar en esto como en la función definida a trozos

    \[ f(x) \Biggl\ {\inicio{matriz}-1, x< 0 \\1, x > 0\final{matriz} \}].

    Esto es muy parecido al ejemplo anterior. De hecho

    \[lim_{x \rightarrow 0^-+ f(x)=1\]

    y

    \lim_{x \rightarrow 0^-} f(x)=-1]

    Para la función de la imagen siguiente, determina lo siguiente (si existe):

    1. \(f(1)\), \(f(3)\), y \(f(4)\).

    2. el límite por la izquierda en \(x=-3\), \(x=1\), \(x=3\) y \(x=4\).

    3. el límite por la derecha en \(x=-3\), \(x=1\), \(x=3\) y \(x=4\).

    4. El límite en (x=3), (x=1), (x=3) y (x=4).

    Límites unilaterales hallar el límite por la izquierda y por la derecha usando el gráfico StudySmarterFig. 3. Hallar límites unilaterales a partir de una gráfica.

    Contesta:

    1. En esta parte sólo se buscan los valores de la función en esos puntos. Así, mirando la gráfica, \(f(1)=2\), \(f(3)=4\) y \(f(4)=1\).

    2. Recuerda que cuando hallas el límite por la izquierda, sólo miras los puntos de la gráfica que están a la izquierda del punto que te interesa. Así que usando la gráfica

    \lim_{x \rightarrow -3^-} f(x)=3\]].

    \[lim_{x \rightarrow 1^-} f(x)=-5]

    [lim_x \rightarrow 3^-} f(x)=4\]

    [lim_{x \rightarrow 4^-} f(x)=4\}]

    3. Cuando hallas el límite por la derecha, sólo miras los puntos de la gráfica que están a la derecha del punto que te interesa. Por tanto, utilizando la gráfica

    \lim_{x \rightarrow -3^+} f(x)=3\]].

    \lim_{x \rightarrow 1^+} f(x)=2]

    \lim_x \rightarrow 3^+} f(x)=3\]

    \lim_x \rightarrow 4^+} f(x)=4\]

    4. El límite sólo existirá en los casos en que el límite por la izquierda y el límite por la derecha sean iguales. En caso contrario, el límite no existe. Teniendo en cuenta la información de las partes 2 y 3 anteriores, eso significa que el límite existe en \(x=-3\) y en \(x=4\). También puedes decir que

    \[lim_{x \rightarrow -3} f(x)=3\]

    y

    \límite 4 f(x)=4].

    Observa que el hecho de que exista el límite es independiente del valor real de la función en el punto, o incluso de si la función está definida allí.

    Además, el límite no existe en \(x=1\) ni en \(x=3\).

    Límites unilaterales y asíntotas verticales

    Queda una pregunta por responder. ¿Cómo evaluamos los límites izquierdo y derecho de una función en una asíntota vertical? El proceso para hallar los límites por la izquierda y por la derecha cuando hay una asíntota vertical es exactamente el mismo que en cualquier otro punto. Veamos un ejemplo.

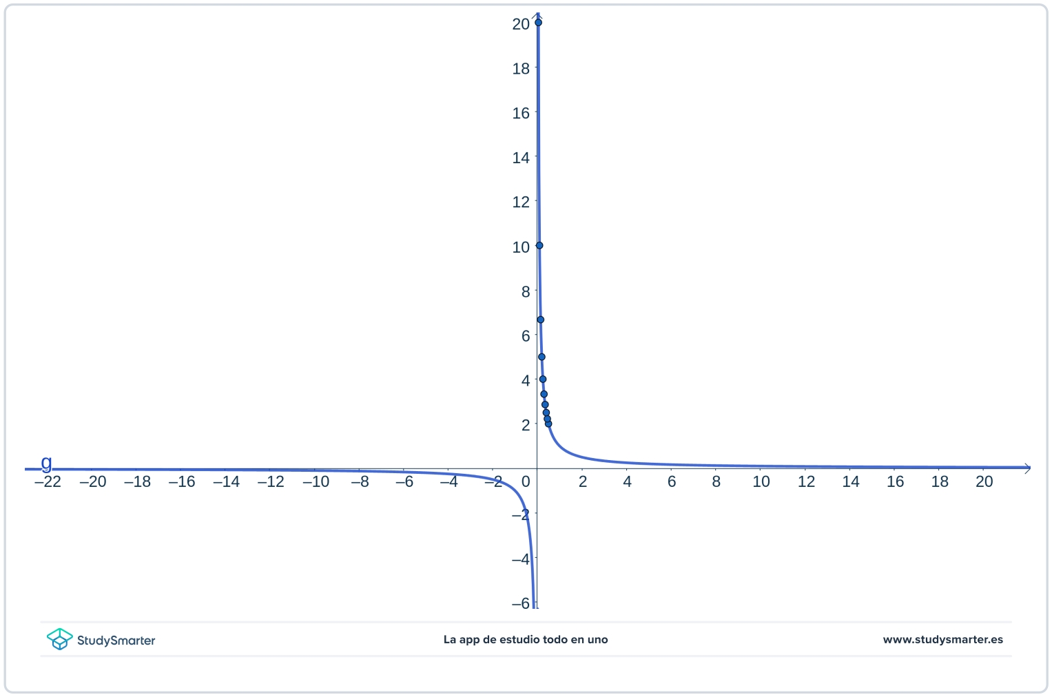
    Considera la función

    \[f(x)=\dfrac{1}{x}\]

    Encuentra

    \lim_{x \rightarrow 0^+} f(x)\}

    y

    \lim_{x \rightarrow 0^-} f(x)|].

    Respuesta:

    Primero, pensemos en el límite de la izquierda. Observa la gráfica y la tabla siguientes.

    \(x\)\(f(x)\)
    -0.5-2
    -0.45-2.22
    -0.4-2.2
    -0.35-2.86
    -0.3-3.33
    -0.25-4
    -0.2-5
    -0.15-6.67
    -0.1-10
    -0.05-20

    Tabla 3. Datos del ejemplo límite.

    Límites unilaterales límite por la izquierda en la asíntota vertical gráfico StudySmarterFig. 4. Límite por la izquierda en una asíntota vertical.

    Como puedes ver tanto en la gráfica como en la tabla, a medida que tomas valores de \(x\) que se acercan cada vez más a \(x=0\) por la izquierda, los valores de la función se alejan cada vez más del eje \(x\), y son todos negativos. Entonces dirías que, de hecho, no hay ningún número que sea el límite por la izquierda. Cuando esto ocurre, puedes decir que "el límite por la izquierda diverge hacia el infinito negativo", y escribirlo como

    \[lim_{x \rightarrow o^-} \dfrac{1}{x}=-\infty\].

    Esto puede parecer extraño, dado que los límites normalmente tienen que ser números, pero la notación sólo está diciendo que los valores de la función situados a la izquierda de cero, pero cerca de cero, pueden tener un valor negativo tan grande como quieras.

    Cuando decimos que el límite es igual a \(+ \infty\) o \(-\infty\), no es más que otra forma de decir que el límite no existe, ¡sólo que siendo un poco más específicos!

    Pensemos ahora en el límite por la derecha. Mira la gráfica y la tabla siguientes

    \(x\)\(f(x)\)
    0.52
    0.452.22
    0.42.5
    0.352.86
    0.33.33
    0.254
    0.25
    0.156.67
    0.110
    0.0520

    Tabla 4. Puntos de datos para el ejemplo del límite lateral.

    Límites unilaterales límite por la derecha en la asíntota vertical tabla gráfica StudySmarterFig. 5. El límite por la derecha de una asíntota vertical.

    Como puedes ver tanto en la gráfica como en la tabla, a medida que tomas valores de \(x\) que se acercan cada vez más a \ (x=0\ ) por la derecha, los valores de la función se alejan cada vez más del eje \( x\) , y son todos positivos. Entonces dirías que, de hecho, no hay ningún número que sea el límite por la derecha. Cuando esto ocurre, puedes decir que "el límite por la derecha diverge hasta el infinito", y escribirlo como

    \[lim_{x \rightarrow 0^+} \dfrac{1}{x}=\infty\].

    Esto puede parecer extraño, dado que los límites normalmente tienen que ser números, pero la notación sólo está diciendo que los valores de la función a la izquierda en cero, pero cercanos a cero, pueden ser un número positivo tan grande como quieras que sean.

    Si en lugar de las asíntotas verticales te interesa el límite como \(x \rightarrow \pm \infty\), también conocido como límites en el infinito, consulta Límites infinitos

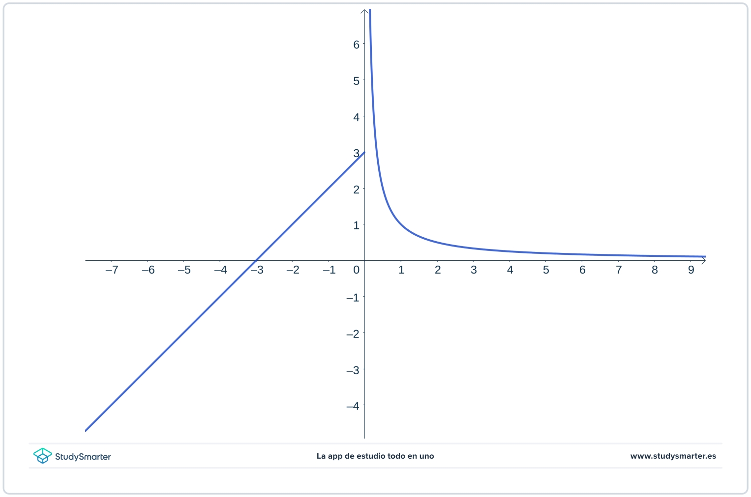
    Puede haber casos en los que el límite de un lado existe, pero no existe del otro lado. Lo vemos en el ejemplo siguiente.

    Para la función de la gráfica siguiente, halla

    \(lim_x \ flecha derecha 0^+) y (lim_x \ flecha derecha 0^-).

    Límites unilaterales el límite de un lado existe pero el límite del otro lado es infinito StudySmarterFig. 6. El límite de un lado existe, pero el del otro no.

    En la imagen anterior, vemos que a la izquierda de \(x=0\) los valores de la función se acercan cada vez más a \(3\) a medida que \(x \rightarrow 0^-\). Es decir

    \[lim_{x \rightarrow 0^-} f(x)=3\]

    Sin embargo, si observas los valores a la derecha de \(x=0\), los valores de la función se hacen cada vez mayores a medida que \(x \rightarrow 0^+\). Es decir

    \[lim_{x \rightarrow 0^+} f(x)=\infty\]

    Observando los ejemplos anteriores, puedes sacar algunas conclusiones útiles:

    1. Si

    \(lim_{x \rightarrow a^+} f(x)= \pm \infty\) o si \(lim_{x \rightarrow a^-} f(x)= \pm \infty\)

    entonces la función tiene una asíntota vertical en \(x=a\).

    2. Si la función tiene una asíntota vertical en \(x=a), entonces

    \(lim_x \rightarrow a^+} f(x)= \pm \infty\) o (lim_x \rightarrow a^-} f(x)= \pm \infty\)

    Límites unilaterales - Puntos clave

    • Decimos que \(L\) es el límite izquierdo de una función \(f(x)\) en \(a\) si podemos conseguir \(f(x)\) tan cerca de \(L\) como queramos tomando \(x\) en el lado izquierdo de \(a\), y cerca de \(a\) pero no igual a \(a\). Se escribe

      \lim_{x \rightarrow a^-} f(x)\].

      .

    • Decimos que \ ( L\ ) es el límite derecho de una función \(f(x)\) en \(a\) si podemos obtener tan cerca de \ (L\) como queramos tomando \(x\) a la derecha de \(a\), y cerca de \(a\) pero no igual a \(a\). Se escribe

      \lim_{x \rightarrow a^+} f(x)\}]

    • Supongamos que \(lim_{x \rightarrow a} f(x)=L\) donde \(L\) es un número real. Entonces:\(lim_{x \rightarrow a^+} f(x)=L\) y \(lim_{x \rightarrow a^-} f(x)\)

    • Si \(lim_{x \rightarrow a^+} f(x)=L=lim_{x \rightarrow a^-} f(x)\) entonces:

      \[lim_{x \rightarrow a} f(x)=L\].

    • Si (lim_x \rightarrow a^+} f(x) \neq lim_x \rightarrow a^-} f(x)\) entonces

      \no existe.

    • Si (lim_x \rightarrow a^+} f(x) = \pm \infty\) o si (lim_x \rightarrow a^-} f(x)= \pm \infty\)

      entonces la función tiene una asíntota vertical en \(x=a\).

    • Si la función tiene una asíntota vertical en \(x=a\) entonces

      \(lim_x \rightarrow a^+} f(x) = \pm \infty\) o (lim_x \rightarrow a^-} f(x)= \pm \infty\).

    Aprende más rápido con las 0 tarjetas sobre Límites Unilaterales

    Regístrate gratis para acceder a todas nuestras tarjetas.

    Límites Unilaterales

    Preguntas frecuentes sobre Límites Unilaterales

    ¿Qué es un límite unilateral?
    Un límite unilateral es el valor al que una función se aproxima desde un solo lado, ya sea por la izquierda o por la derecha.
    ¿Cuál es la diferencia entre límite lateral y límite unilateral?
    No hay diferencia; son términos intercambiables que se refieren al valor que la función se acerca desde un lado específico.
    ¿Cómo se calcula un límite unilateral?
    Para calcular un límite unilateral, evaluamos la función a medida que la variable se aproxima al punto de interés desde un solo lado, utilizando álgebra o sustitución.
    ¿Cuándo usamos un límite unilateral?
    Usamos límites unilaterales cuando nos interesa el comportamiento de una función desde un solo lado, comúnmente en discontinuidades o en funciones definidas por partes.
    Guardar explicación

    ¿Cómo te aseguras de que tu contenido sea preciso y confiable?

    En StudySmarter, has creado una plataforma de aprendizaje que atiende a millones de estudiantes. Conoce a las personas que trabajan arduamente para ofrecer contenido basado en hechos y garantizar que esté verificado.

    Proceso de creación de contenido:
    Lily Hulatt Avatar
    Lily Hulatt

    Especialista en Contenido Digital

    Lily Hulatt es una especialista en contenido digital con más de tres años de experiencia en estrategia de contenido y diseño curricular. Obtuvo su doctorado en Literatura Inglesa en la Universidad de Durham en 2022, enseñó en el Departamento de Estudios Ingleses de la Universidad de Durham y ha contribuido a varias publicaciones. Lily se especializa en Literatura Inglesa, Lengua Inglesa, Historia y Filosofía.

    Conoce a Lily
    Control de calidad del contenido:
    Gabriel Freitas Avatar
    Gabriel Freitas

    Ingeniero en Inteligencia Artificial

    Gabriel Freitas es un ingeniero en inteligencia artificial con una sólida experiencia en desarrollo de software, algoritmos de aprendizaje automático e IA generativa, incluidas aplicaciones de grandes modelos de lenguaje (LLM). Graduado en Ingeniería Eléctrica de la Universidad de São Paulo, actualmente cursa una maestría en Ingeniería Informática en la Universidad de Campinas, especializándose en temas de aprendizaje automático. Gabriel tiene una sólida formación en ingeniería de software y ha trabajado en proyectos que involucran visión por computadora, IA integrada y aplicaciones LLM.

    Conoce a Gabriel Gabriel
    Descubre materiales de aprendizaje con la aplicación gratuita StudySmarter
    Regístrate gratis
    1

    Acerca de StudySmarter

    StudySmarter es una compañía de tecnología educativa reconocida a nivel mundial, que ofrece una plataforma de aprendizaje integral diseñada para estudiantes de todas las edades y niveles educativos. Nuestra plataforma proporciona apoyo en el aprendizaje para una amplia gama de asignaturas, incluidas las STEM, Ciencias Sociales e Idiomas, y también ayuda a los estudiantes a dominar con éxito diversos exámenes y pruebas en todo el mundo, como GCSE, A Level, SAT, ACT, Abitur y más. Ofrecemos una extensa biblioteca de materiales de aprendizaje, incluidas tarjetas didácticas interactivas, soluciones completas de libros de texto y explicaciones detalladas. La tecnología avanzada y las herramientas que proporcionamos ayudan a los estudiantes a crear sus propios materiales de aprendizaje. El contenido de StudySmarter no solo es verificado por expertos, sino que también se actualiza regularmente para garantizar su precisión y relevancia.

    Aprende más
    Equipo editorial StudySmarter

    Equipo de profesores de Matemáticas

    • Tiempo de lectura de 13 minutos
    • Revisado por el equipo editorial de StudySmarter
    Guardar explicación Guardar explicación
    Guardar explicación
    Sign-up for free

    Regístrate para poder subrayar y tomar apuntes. Es 100% gratis.