Integrales impropias

Las integrales definidas tienen una gran variedad de aplicaciones. Las integrales definidas se utilizan para hallar el área bajo una curva, para hallar el desplazamiento de un coche que acelera, ¡e incluso para medir la cantidad de combustible que consume un avión durante el vuelo!

Pruéablo tú mismo

Millones de tarjetas didácticas para ayudarte a sobresalir en tus estudios.

Regístrate gratis

Review generated flashcards

Regístrate gratis
Has alcanzado el límite diario de IA

Comienza a aprender o crea tus propias tarjetas de aprendizaje con IA

Equipo editorial StudySmarter

Equipo de profesores de Integrales impropias

  • Tiempo de lectura de 13 minutos
  • Revisado por el equipo editorial de StudySmarter
Guardar explicación Guardar explicación
Regístrate gratis para guardar, editar y crear tarjetas de memoria.
Guardar explicación Guardar explicación
  • Contenido verificado
  • Publicado el: 20.06.2024
  • Tiempo de lectura: 13 min
Tarjetas de estudio
Tarjetas de estudio
  • Contenido verificado
  • Última actualización: 01.01.1970
  • Tiempo de lectura: 13 min
  • Proceso de creación de contenido diseñado por
    Lily Hulatt Avatar
  • du contenu vérifiée par
    Gabriel Freitas Avatar
  • Calidad del contenido comprobada por
    Gabriel Freitas Avatar
Regístrate gratis para guardar, editar y crear tarjetas de memoria.
Guardar explicación Guardar explicación

Saltar a un capítulo clave

    Pero, ¿qué ocurre si el intervalo de integración es infinito? ¿O si la función es discontinua en el intervalo de integración? Estas integrales se conocen como integrales impropias, y debemos tener cuidado al trabajar con ellas. Veamos cómo se hace.

    Tipos de integrales impropias

    Considera una integral definida. Según el intervalo de integración, pueden darse los siguientes casos

    • la integral está definida sobre un intervalo infinito; o

    • la función que estás integrando tiene una discontinuidad en el intervalo de integración.

    Si se cumple alguna de las circunstancias anteriores, la integral se conoce como Integral Impropia.

    Una IntegralImpropia es una integral definida que, o bien está definida sobre un intervalo infinito, o bien la función de su integrando contiene una discontinuidad en el intervalo.

    Evaluación de integrales impropias

    Una vez que identificas una integral impropia, el siguiente paso es evaluarla. La evaluación de ambos casos implica límites. Veamos cómo tratar cada uno de ellos.

    Sobre un intervalo infinito

    Considera la siguiente integral definida:

    $$\int_{0}^{2}3e^{\text{-}x}\,\mathrm{d}x .$$

    La integral anterior puede verse como el área comprendida entre \(y=3e^{\text{-}x}), las rectas verticales \(x=0\) y \(x=2\), y el eje \(x\).

    Integrales impropias exponenciales StudySmarterFig. 1. Área bajo una curva exponencial.

    Pero, ¿qué pasa si sigues yendo más a la derecha?

    Integrales impropias exponenciales StudySmarterFig. 2. Más área bajo la curva exponencial.

    Puedes seguir avanzando aún más, hasta el infinito, como en el ejemplo:

    $$\int_{0}^{\infty}3e^{\text{-}x}\,\mathrm{d}x.$$

    Para evaluar una integral como ésta, necesitas tomar límites.

    Sea \(f(x)\) una función que es continua para \(a\leq x\). Si el límite existe, la integral impropia \(\int_{a}^{infty}f(x)\,\mathrm{d}x\) se define como sigue:

    $$\int_{a}^{\infty}f(x)\,\mathrm{d}x=\lim_{b\rightarrow \infty}\int_{a}^{b}f(x)\,\mathrm{d}x .$$

    Los otros tipos de integrales impropias que afectan a intervalos infinitos se definen de forma similar.

    Sea \(f(x)\) una función que es continua para \(x\leq b\). Si existe el límite, la integral impropia \(\int_{texto{-}\infty}^{b}f(x)\,\mathrm{d}x\) se define así:

    $$\int_{\text{-}\infty}^{b}f(x)\,\mathrm{d}x=\lim_{a\rightarrow \infty}\int_{a}^{b}f(x)\,\mathrm{d}x .$$

    Si la integral debe hacerse sobre todos los números reales, debes dividirla en dos integrales, cada una de las cuales implica las definiciones anteriores.

    Sea \(f(x)\) una función continua en todas partes. Si existen ambos límites, la integral impropia \(\int_{text{-}\infty}^{infty}f(x)\,\mathrm{d}x\) se define como sigue:

    $$\int_{\text{-}\infty}^{\infty}f(x)\,\mathrm{d}x=\int_{\text{-}\infty}^{0}f(x)\,\mathrm{d}x+\int_{0}^{\infty}f(x)\,\mathrm{d}x .$$

    Para la evaluación de este tipo de integrales impropias seguimos estos pasos:

    1. Escribe la integral impropia utilizando un límite adecuado.
    2. Evalúa la integral definida. Esto se suele hacer con el Teorema Fundamental del Cálculo.
    3. Evalúa el límite resultante.

    Veamos un ejemplo de integral sobre un intervalo infinito.

    Evalúa la siguiente integral impropia:

    $$\int_{1}^{\infty} \x^2} \mathrm{d}x.$$

    Respuesta:

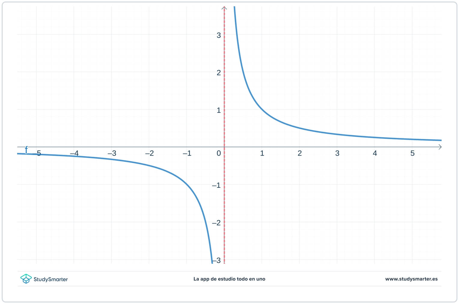
    Empieza observando que, a pesar de que la función es discontinua en \(x=0\), la discontinuidad no está incluida en tu intervalo de integración, por lo que puedes continuar.

    Integrales impropias discontinuidad StudySmarterFig. 3. La discontinuidad no está incluida en el intervalo de integración.

    Ahora puedes seguir los pasos para evaluar integrales impropias.

    1. Escribe la integral impropia como un límite.

    $$\int_{1}^{\infty} \frac{1}{x^2} \mathrm{d}x = \lim_{b\rightarrow\infty} \πint_1}^{b} \x^2} \x.$$

    2.Evalúa la integral definida.

    Para este paso puedes hallar la antiderivada de la función con la regla de potencias,

    $$\int \frac{1}{x^2} \mathrm{d}x = -\frac{1}{x}+C,$$

    y luego utilizar el Teorema Fundamental del Cálculo, por lo que

    $$\int_{1}^{\infty} \frac{1}{x^2} \x=lim_{b\rightarrow\infty} \left[ \left( -\frac{1}{b} \right) - \left( -\frac{1}{1}{right) \right].$$

    3. Evalúa el límite y simplifica.

    $$ \begin{align} \int_{1}^{\infty}\frac{1}{x^2} \mathrm{d}x &= 0 -(-1) \\\= 1. \fin{align} $$

    En un intervalo en el que la función no es continua

    También es posible tener una integral cuyo integrando sea una función que tenga una discontinuidad en el intervalo dado. En estos casos no puedes incluir la discontinuidad en la integral, pero puedes acercarte lo suficiente a ella.

    Integrales impropias discontinuas racionales StudySmarterFig. 4. La función racional es discontinua en el origen.

    También necesitas tomar límites para evaluar integrales que incluyan discontinuidades. Veamos cómo.

    Sea \(f(x)\) una función continua en el intervalo \(a\leq x < b\) pero discontinua en \(x=b\). Su integral impropia se define como

    $$int_{a}^{b} f(x) \$, \mathrm{d}x = \lim_{t\rightarrow b^{-}} \f(x) \_mathrm{d}x.$$

    En el caso anterior, la discontinuidad estaba en el límite superior de la integración. Por lo tanto, tienes que tomar el límite a medida que te acercas a la discontinuidad por la izquierda.

    Integrales impropias límite izquierdo StudySmarterFig. 5. Aproximación a una discontinuidad por la izquierda.

    Veamos ahora qué hacer si la discontinuidad está en el límite inferior de integración.

    Sea \(f(x)\) una función que es continua para \(a<x\leq b\) pero discontinua en \(x=a\). Su integral impropia se define como

    $$int_{a}^{b} f(x) \$, \mathrm{d}x = \lim_{t\rightarrow a^{+}} \f(x) \, \mathrm{d}x.$$

    Para recordar los límites por la izquierda y por la derecha, consulta Límites unilaterales.

    Si la discontinuidad está en el límite inferior de la integración, tomas el límite al acercarte a él por la derecha .

    Integrales impropias límite derecho StudySmarterFig. 6. Aproximación a una discontinuidad desde la derecha.

    ¿Y si la discontinuidad está dentro del intervalo de integración? ¡Entonces necesitas un límite por la izquierda y otro por la derecha!

    Sea \(f(x)\) una función que es continua para \(a\leq x\leq b\) excepto en un punto \(c\) tal que \(a<c<b\). Su integral impropia se define como

    $$int_{a}^{b} f(x) \, \mathrm{d}x = \int_{a}^{c} f(x) \, \mathrm{d}x + \int_{c}^{b} f(x) \, \mathrm{d}x.$$

    Los pasos para evaluar este tipo de integrales impropias son prácticamente los mismos que en el otro caso, sólo tienes que prestar atención a la discontinuidad. Estos son los pasos:

    1. Escribe la integral utilizando un límite que se aproxime a la discontinuidad. Si la discontinuidad está dentro del intervalo de integración tendrás que dividir la integral y escribir dos límites.
    2. Evalúa la(s) integral(es) resultante(s). Esto se suele hacer con el Teorema Fundamental del Cálculo.
    3. Evalúa el límite o límites resultantes.

    Veamos un ejemplo de integral impropia que implica una discontinuidad.

    Evalúa la siguiente integral:

    $$\int_{-3}^{3}\frac{1}{x^3} \mathrm{d}x.$$

    Responde:

    1. Escribe ambas integrales utilizando límites apropiados que se aproximen a la discontinuidad.

    Observa que la función es discontinua en \(x=0\), por lo que tienes que dividirla en dos integrales

    $$\int_{-3}^{3} \frac{1}{x^3} \mathrm{d}x = \int_{-3}^{0} \frac{1}{x^3} \dx + int_{0}^{3} \frac{1}{x^3} \mathrm{d}x.$$

    2. 2. Evalúa la(s) integral(es) resultante(s).

    A continuación, tienes que evaluar cada integral. Esto puede hacerse hallando la antiderivada del integrando (con ayuda de la regla de potencias)

    $$\int \frac{1}{x^3} \mathrm{d}x = -\frac{1}{2} \cdot \frac{1}{x^2} +C,$$

    y luego utilizando El Teorema Fundamental del Cálculo para cada par de límites de integración, así

    $$\int_{-3}^{0} \frac{1}{x^3} \mathrm{d}x=\lim_{t\rightarrow 0^{-}} \left[ \left( -\frac{1}{2} \cdot \frac{1}{t^2} \right) -\left(-\frac{1}{2} \cdot \frac{1}{(-3)^2}\derecha) \derecha],$$

    y

    $$\int_{0}^{3} \frac{1}{x^3} \mathrm{d}x=\lim_{t\rightarrow 0^{+}} \left[ \left( -\frac{1}{2} \cdot \frac{1}{3^2} \right) -\left(-\frac{1}{2} \cdot \frac{1}{t^2}\right) \right].$$

    3. 3. Evalúa los límites resultantes.

    Observa que no existe ninguno de los límites requeridos. ¡Esto es información suficiente para concluir que la integral diverge!

    De hecho, si observas que alguno de los límites no existe, puedes detenerte ahí y concluir que la integral diverge. ¡No es necesario evaluar el otro límite!

    En el ejemplo anterior has descubierto que el valor de la integral no existe. Pero, ¿qué significa esto? Estamos hablando de la convergencia de la integral.

    Convergencia de integrales impropias

    Has visto en qué circunstancias se pueden hallar los valores de las integrales impropias. En tales casos decimos que las integrales convergen.

    Supongamos que tenemos una integral impropia. Si existen todos los límites que intervienen en su evaluación, se dice que la integral converge. Si alguno de los límites no existe, el valor de la integral no existe, y se dice que diverge.

    Normalmente, diremos que la integral diverge o que converge a un valor determinado.

    En los ejemplos anteriores has visto que

    $$\int_{1}^{\infty} \frac{1}{x^2} \mathrm{d}x$$

    converge, y su valor es \(1\).

    También has comprobado que el valor de

    $$\int_{0}^{2} \frac{1}{x} \mathrm{d}x$$

    no existe porque el límite implicado en su evaluación no existe, por tanto, puedes decir que diverge.

    Ejemplos de evaluación de integrales impropias

    Veamos más ejemplos de integrales impropias.

    Evalúa la siguiente integral:

    $$\int_{0}^{2} \frac{1}{x} \mathrm{d}x.$$

    Responde:

    Empieza por observar que la función \(f(x)=\frac{1}{x}\) no está definida cuando \(x=0\), por lo que estás ante una integral impropia.1. Escribe la integral impropia como un límite.Debes empezar escribiendo la integral impropia como un límite, de modo que

    $$\int_{0}^{2} \frac{1}{x} \mathrm{d}x = \lim_{t\rightarrow 0^{+}} \^{2} \x \mathrm{d}x.$$

    2. 2. Evalúa la integral resultante.

    A continuación, halla la antiderivada de la función del integrando (puedes echar un vistazo a nuestras Integrales que implican funciones logarítmicas para refrescar la memoria)

    $$\int \frac{1}{x} \mathrm{d}x = \ln{x},$$

    y, por último, utiliza el Teorema Fundamental del Cálculo para evaluar la integral definida

    $$\int_{0}^{2} \frac{1}{x} \mathrm{d}x = \ln{2} - |ln{t}. \ln{t}.$$

    3. Evalúa el límite resultante.

    Desgraciadamente, el último límite no existe, por lo que la integral tampoco existe.

    La siguiente integral aparece con bastante frecuencia en Física y Estadística. Se utiliza para modelizar los límites del comportamiento exponencial.

    Evalúa la integral siguiente:

    $$\int_{0}^{\infty} e^{-x} \, \mathrm{d}x.$$

    Contesta:

    1. Escribe la integral impropia como un límite.

    Como siempre, empieza escribiendo la integral como un límite, así

    $$\int_{0}^{\infty} e^{-x} |mathrm{d}x=lim_{b\\rightarrow \infty} \e^{-x} \x.$$

    2. 2. Evalúa la integral resultante.

    A continuación, halla la antiderivada de la función exponencial

    $$\int e^{-x} |mathrm{d}x = -e^{-x} + C.$$

    Por último, puedes utilizar el Teorema Fundamental del Cálculo para evaluar la integral definida

    $$\int_{0}^{\infty} e^{-x} |mathrm{d}x = \lim_{b\rightarrow \infty} \left[ \left(-e^{-b} \right) - \left(-e^{0}\right) \right].$$

    3. 3. Evalúa el límite resultante.

    El límite anterior de la exponencial es igual a \(0\). Además, cualquier número real distinto de cero elevado a la potencia de \(0\) es igual a \(1\). Por tanto,

    Inicio \int_{0}^{\infty} e^{-x} \, \mathrm{d}x &= 0 - (-1) \\=1. \fin{align}$$

    ¿Necesitas recordar cómo evaluar límites como el del ejemplo anterior? ¡Consulta nuestro artículo sobre Límites!

    Fórmulas de integrales impropias

    Por desgracia, no existe una fórmula para las integrales impropias. Tienes que identificar con qué tipo de integral impropia estás tratando, y luego utilizar el método correspondiente, como se ve arriba en el artículo.

    Integrales impropias - Puntos clave

    • Una integral impropia es una integral definida que está definida sobre un intervalo infinito, o una en la que la función que estás integrando tiene una discontinuidad en el intervalo.
    • No existe una fórmula para evaluar integrales impropias. En su lugar, existen métodos que dependen del tipo de integral impropia con la que estés tratando.
    • Si la integral impropia está definida en un intervalo infinito:1. Escribe la integral impropia utilizando un límite apropiado.2. Evalúa la integral definida. Evalúa la integral definida. Esto se suele hacer con el Teorema Fundamental del Cálculo.3. Evalúa el límite resultante.
    • Si la integral impropia tiene una discontinuidad en el intervalo de integración:1. Escribe la integral utilizando un límite que se aproxime a la discontinuidad. Si la discontinuidad está dentro del intervalo de integración tendrás que dividir la integral y escribir dos límites.2. Evalúa la(s) integral(es) resultante(s). Esto se suele hacer con el Teorema Fundamental del Cálculo.3. Evalúa el límite o límites resultantes.
    • Si existen todos los límites implicados en la evaluación de la integral impropia, decimos que dicha integral converge a un valor.
    • Si alguno de los límites implicados en la evaluación de la integral impropia no existe, decimos que dicha integral diverge.

    Aprende más rápido con las 0 tarjetas sobre Integrales impropias

    Regístrate gratis para acceder a todas nuestras tarjetas.

    Integrales impropias

    Preguntas frecuentes sobre Integrales impropias

    ¿Qué son las integrales impropias?
    Las integrales impropias son integrales que tienen límites de integración infinitos o integrandos con discontinuidades.
    ¿Cómo se resuelve una integral impropia?
    Resolver una integral impropia implica tomar un límite en el que uno o ambos extremos de la integral se acercan al infinito o a una discontinuidad.
    ¿Cuál es la diferencia entre una integral propia e impropia?
    La diferencia es que las integrales impropias tienen límites infinitos o integrandos con discontinuidades, mientras que las propias tienen límites finitos y funciones continuas.
    ¿Qué significa que una integral impropia sea convergente?
    Una integral impropia es convergente si el límite que define la integral existe y es finito.
    Guardar explicación

    ¿Cómo te aseguras de que tu contenido sea preciso y confiable?

    En StudySmarter, has creado una plataforma de aprendizaje que atiende a millones de estudiantes. Conoce a las personas que trabajan arduamente para ofrecer contenido basado en hechos y garantizar que esté verificado.

    Proceso de creación de contenido:
    Lily Hulatt Avatar
    Lily Hulatt

    Especialista en Contenido Digital

    Lily Hulatt es una especialista en contenido digital con más de tres años de experiencia en estrategia de contenido y diseño curricular. Obtuvo su doctorado en Literatura Inglesa en la Universidad de Durham en 2022, enseñó en el Departamento de Estudios Ingleses de la Universidad de Durham y ha contribuido a varias publicaciones. Lily se especializa en Literatura Inglesa, Lengua Inglesa, Historia y Filosofía.

    Conoce a Lily
    Control de calidad del contenido:
    Gabriel Freitas Avatar
    Gabriel Freitas

    Ingeniero en Inteligencia Artificial

    Gabriel Freitas es un ingeniero en inteligencia artificial con una sólida experiencia en desarrollo de software, algoritmos de aprendizaje automático e IA generativa, incluidas aplicaciones de grandes modelos de lenguaje (LLM). Graduado en Ingeniería Eléctrica de la Universidad de São Paulo, actualmente cursa una maestría en Ingeniería Informática en la Universidad de Campinas, especializándose en temas de aprendizaje automático. Gabriel tiene una sólida formación en ingeniería de software y ha trabajado en proyectos que involucran visión por computadora, IA integrada y aplicaciones LLM.

    Conoce a Gabriel Gabriel
    Descubre materiales de aprendizaje con la aplicación gratuita StudySmarter
    Regístrate gratis
    1

    Acerca de StudySmarter

    StudySmarter es una compañía de tecnología educativa reconocida a nivel mundial, que ofrece una plataforma de aprendizaje integral diseñada para estudiantes de todas las edades y niveles educativos. Nuestra plataforma proporciona apoyo en el aprendizaje para una amplia gama de asignaturas, incluidas las STEM, Ciencias Sociales e Idiomas, y también ayuda a los estudiantes a dominar con éxito diversos exámenes y pruebas en todo el mundo, como GCSE, A Level, SAT, ACT, Abitur y más. Ofrecemos una extensa biblioteca de materiales de aprendizaje, incluidas tarjetas didácticas interactivas, soluciones completas de libros de texto y explicaciones detalladas. La tecnología avanzada y las herramientas que proporcionamos ayudan a los estudiantes a crear sus propios materiales de aprendizaje. El contenido de StudySmarter no solo es verificado por expertos, sino que también se actualiza regularmente para garantizar su precisión y relevancia.

    Aprende más
    Equipo editorial StudySmarter

    Equipo de profesores de Matemáticas

    • Tiempo de lectura de 13 minutos
    • Revisado por el equipo editorial de StudySmarter
    Guardar explicación Guardar explicación
    Guardar explicación
    Sign-up for free

    Regístrate para poder subrayar y tomar apuntes. Es 100% gratis.