Evaluación de límites en el infinito
¿Sabías que hay más de una forma de pensar en los límites infinitos y de evaluarlos? Una forma es lo que ocurre cuando se obtiene una asíntota vertical. Para más información sobre ese tipo de límite infinito, consulta Límites unilaterales y límites infinitos.
Otro tipo de límite infinito es pensar en lo que ocurre con los valores de la función \(f(x)\) cuando \(x\) se hace muy grande, y eso es lo que se explora aquí utilizando la definición, reglas útiles y gráficas. ¡Así que sigue leyendo para saber cómo evaluar límites en el infinito!
Definición de límite en el infinito
Recuerda que el símbolo \(\infty\) no representa un número real. En su lugar, describe el comportamiento de los valores de una función que se hacen cada vez más grandes, igual que \(-\infty\) describe el comportamiento de una función que se hace cada vez más negativa. Así, si ves
\[\lim_{x\to\infty}f(x)=L,\]
¡no lo tomes como que puedes introducir \(\infty\) como valor de la función! Escribir el límite de esta forma es sólo una forma abreviada de darte una mejor idea de lo que hace la función. Así que veamos primero la definición y luego un ejemplo.
Decimos que una función \(f(x)\) tiene un límite en el infinito si existe un número real \(L\) tal que para todo \(\epsilon > 0\) , existe \(N>0\) tal que
\[|f(x)-L|<\epsilon]].
para todo \(x>N\), y escribimos
\[\lim_{x\a\infty} f(x)=L.\]
Veamos un ejemplo.
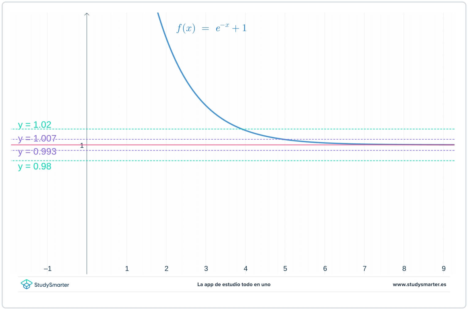
Considera la función \(f(x)=e^{-x}+1,\) y decide si
\[\lim_{x\a\infty}f(x)=L \].
existe.
Solución
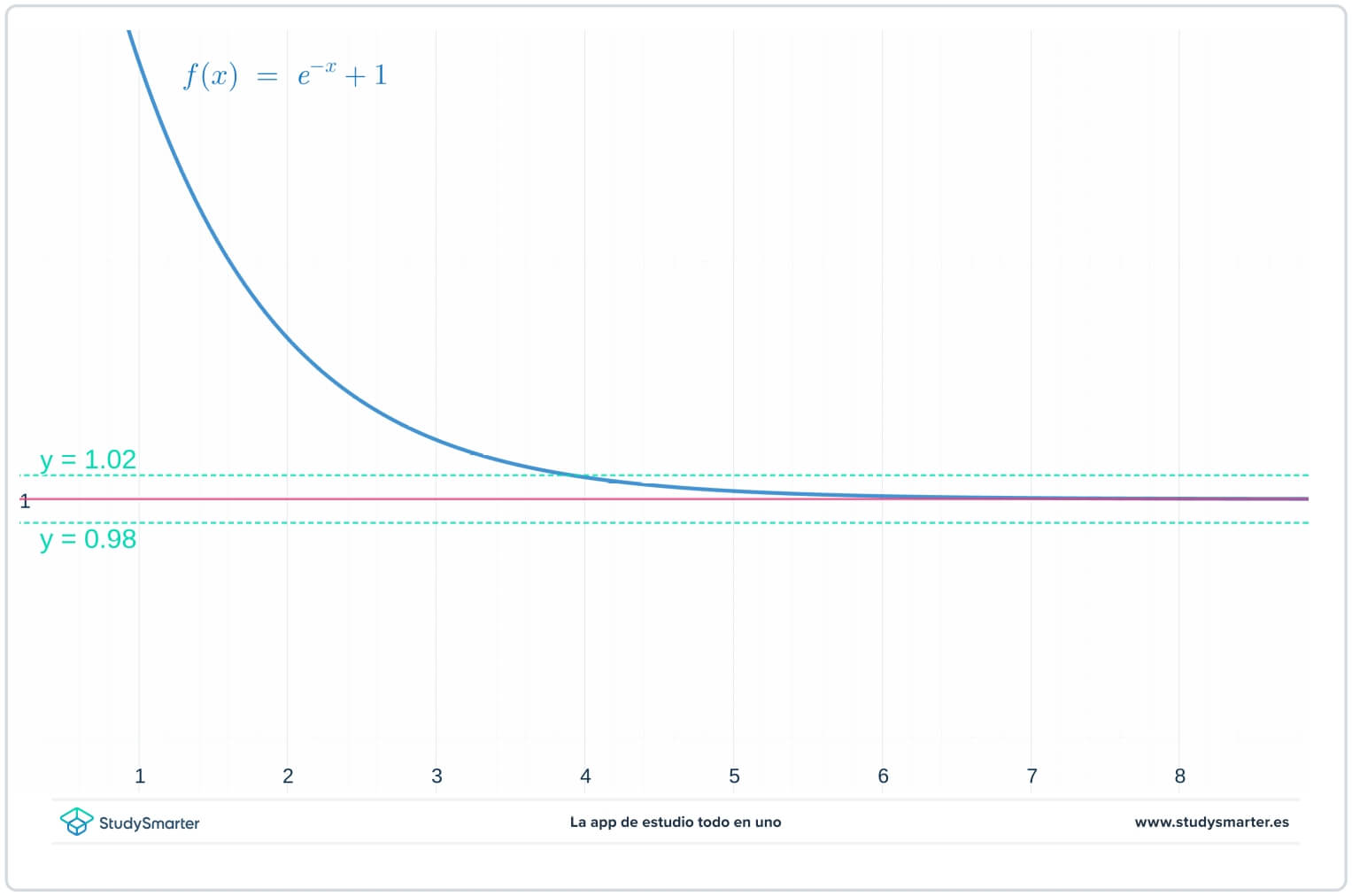
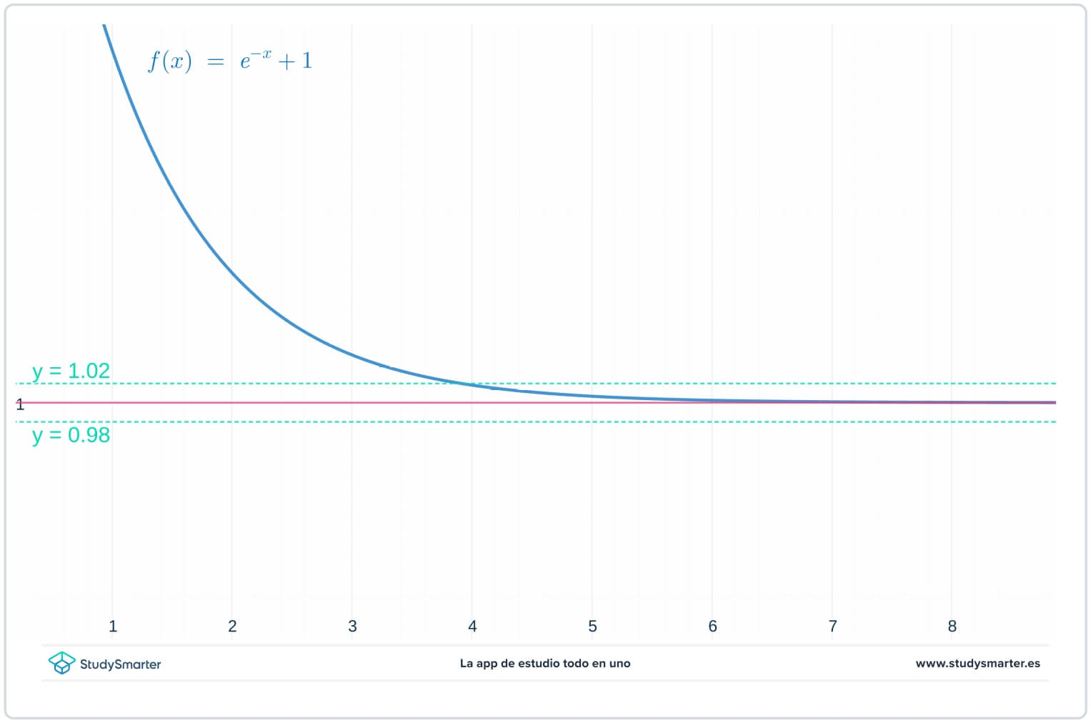
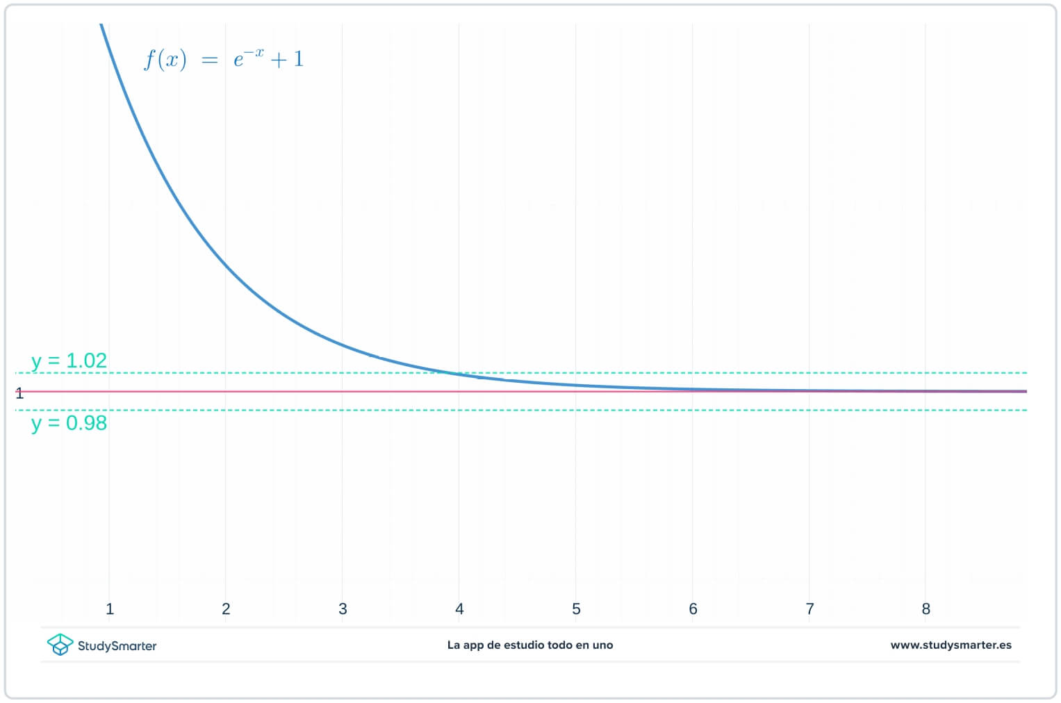
Primero, veamos la gráfica de la función. Por lo que sabes sobre funciones exponenciales (ver Funciones exponenciales), un buen candidato para el límite es \(L=1\). Así que en la misma gráfica de la función, grafica las rectas \(y=1\), \(y=1-\epsilon=0,98\), y \(y=1+\epsilon=1,02\). Aunque no sabes exactamente qué valor tiene \(\epsilon\), sí sabes que es un pequeño número positivo.

Fig. 1. Gráfica de una función para hallar el límite en el infinito
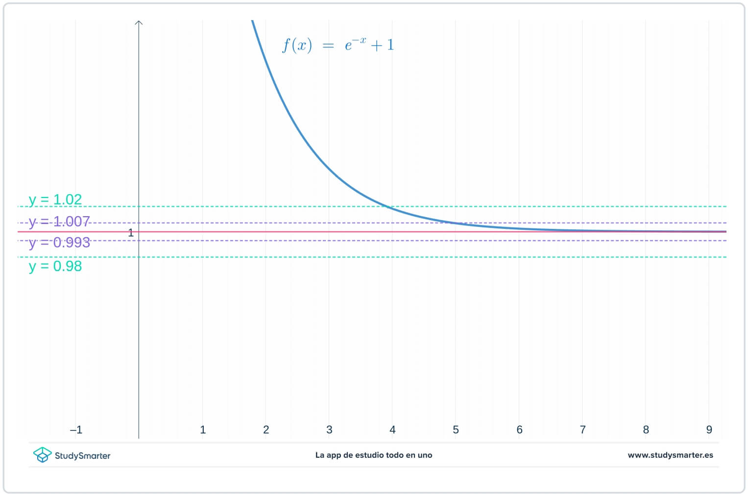
Así puedes ver que para la gráfica anterior, mientras \(x>4) la gráfica de \(f(x)\)está atrapada entre las rectas \(y=1-\epsilon\) y \(y=1+\epsilon\). Pero, ¿qué ocurre si tienes un valor aún menor de \(\epsilon\)?
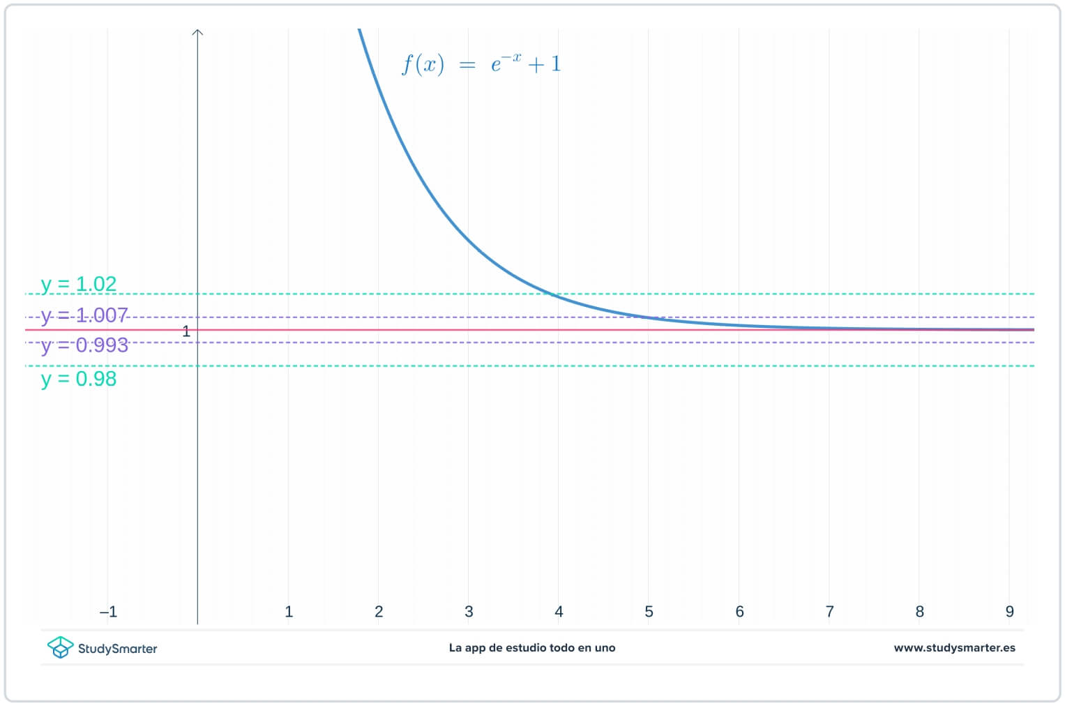
En el gráfico siguiente, las líneas originales están ahí, pero ahora hay dos líneas adicionales, \(y=1-\epsilon_{1}=0,0993) y \(y=1+\epsilon_{1}=1,007), donde \(\epsilon_{1}) es algún número menor que \(\epsilon).

Fig. 2. Gráfica con un valor de épsilon menor para hallar el límite en el infinito
Como puedes ver en la gráfica anterior, con este valor menor de \( \epsilon_{1}\), tienes que tomar \(x>7\) para asegurarte de que la función queda atrapada entre \(y=1-\epsilon_{1}\) y \ (y=1+\epsilon_{1}.\)
Normalmente, el valor de \(N\) que encuentres dependerá tanto de la función como del valor de \(\epsilon\), y a medida que tomes valores de \(\epsilon\) menores, necesitarás un valor mayor para \(N\).
Por tanto, el límite a medida que \(x\) se acerca a infinito en esta función sí existe,
\[\lim_{x\to\infty}e^{-x}+1=1.\]
Ahora bien, puede darse el caso de que el límite como \(x\to\infty\) no exista.
Considera la función \(f(x)=\sin x\) . ¿Existe
\[\lim_{x\to\infty}f(x)\]
¿existe?
Solución
Lo primero que tendrías que hacer para hallar el límite es elegir un candidato para el valor del límite \(L\). Pero si intentas elegir un valor para \(L\), digamos \(L=1\), siempre encontrarás valores de la función \(f(x)=\sin (x)\) que estén a más de \(\dfrac{1}{2}\) de \(L\), porque la función seno oscila entre \(-1\) y \(1\). De hecho, para cualquier \(L\) que intentes elegir, la oscilación de la función seno siempre será un problema. Así que
\[\lim_{x\a\infty} \sin x\]]
no existe.
A veces, como \(x\to \infty\), los valores de la función no hacen más que aumentar, como ocurre con la función \(f(x)=x\). Como esto ocurre con bastantes funciones, existe una definición especial para este comportamiento.
Decimos que una función \(f(x)\) tiene un límite infinito en el infinito, y escribimos
\[\lim_{x\to\infty}f(x)=\infty,\]
si para todo \(M>0\) existe un \(N>0\) tal que \(f(x)>M\) para todo \(x>N.\)
Esto no es lo mismo que decir que el límite existe, o que la función realmente "llega" al infinito. Escribiendo
\[\lim_{x\to\infty}f(x)=\infty\]
es sólo una forma abreviada de decir que la función se hace cada vez más grande cuando tomas \(x\) para que se haga cada vez más grande.
Toma la función \(f(x)=\sqrt{x}\) y demuestra que
\[\lim_{x\to\infty}f(x)=\infty.\]
Solución
Para demostrar que el límite es infinito, toma un \(M>0\) fijo. Quieres que \(x>N\) implique que \(f(x)>M\), o dicho de otro modo, que \(\sqrt{x}>M\).
En este caso, es relativamente fácil resolver para \(x\) y encontrar que \(x>M^2\). Trabajando hacia atrás a partir de esto, si tomas \(N>M^2\), sabes que \(x>N>M^2\) implicará que
\[\sqrt{x}>\sqrt{N}>\sqrt{M^2}=M,\]
y todo esto se cumple porque sabes que \(N\) y \(M\) son positivos. Por tanto, has demostrado que
\[\lim_{x\to\infty}f(x)=\infty.\]
Límites en el infinito negativo
De forma similar al límite en el infinito, puedes definir el límite en el infinito negativo.
Decimos que una función \ (f(x)\) tiene un límite en el infinito negativo si existe un número real \(L\) tal que para todo \ (\epsilon>0\), existe \(N>0\) tal que
\[|f(x)-L|<\epsilon]].
para todo \ (x<-N\), y escribimos
|lim_{x\a -\infty}=L.|].
También puedes definir una función cuyo límite en el infinito es el infinito negativo. Observa que es bastante similar a la definición anterior.
Decimos que una función \(f(x)\) tiene un límite infinito negativo en el infinito, y escribimos
\[\lim_{x\to\infty}f(x)=-\infty,\]
si para todo \(M>0\) existe un \(N>0\) tal que \(f(x)<-M\) para todo \(x>N.\)
Por supuesto, lo que puedes hacer para la dirección positiva puedes hacerlo en la dirección negativa.
Decimos que una función \(f(x)\) tiene un límite infinito en el infinito negativo, y escribimos
\[\lim_{x\to-\infty}f(x)=\infty,\]
si para todo \(M>0\) existe un \(N>0\) tal que \(f(x)>M\) para todo \(x<-N.\)
Y por último, un límite infinito negativo en el infinito negativo.
Decimos que una función \(f(x)\) tiene un límite infinito negativo en el infinito negativo, y escribimos
\[\lim_{x\a -\infty} f(x)=-\infty,\\]
si para todo \(M>0\) existe un \(N>0\) tal que \(f(x)<-M\) para todo \(x<-N.\)
Encontrar un límite infinito a partir de una gráfica
A veces puede ser muy útil representar gráficamente la función y consultar una tabla de valores cuando se intenta encontrar un límite infinito. Esto es especialmente cierto cuando puede que no tengas una buena intuición del aspecto de la función.
Utilizando la función
\[f(x)=\frac{1}{x}\sin x,\]
halla
\Lim_{x}a{infty} f(x).
Solución
Primero haz una gráfica de la función y una tabla de valores de la función. En la gráfica siguiente puedes ver los puntos de la tabla trazados sobre la función.
Fig. 3. Utilización de una gráfica para hallar el límite de una función.
| \(x\) | \(f(x)\) |
| \(10\) | \(-0.0544\) |
| \(20\) | \(0.0456\) |
| \(30\) | \(-0.0329\) |
| \(40\) | \(0.0186\) |
| \(50\) | \(-0.0052\) |
| \(60\) | \(-0.0050\) |
| \(70\) | \(0.0110\) |
| \(80\) | \(-0.0124\) |
| \(90\) | \(0.0099\) |
| \(100\) | \(-0.0050\) |
| \(200\) | \(-0.0043\) |
| \(300\) | \(-0.0033\) |
| \(400\) | \(-0.0021\) |
| \(500\) | \(-0.0009\) |
Tabla 1.- Puntos de la gráfica.
Por la tabla y la gráfica parece que los valores de la función se acercan a cero a medida que \(x\a \infty\), pero no puedes estar seguro. Como se trata de buscar un límite en el infinito, en lugar de hacer la gráfica desde \(x=0\) hacia la derecha, empieza con un valor mayor de \(x\) para verlo mejor.
Fig. 4. Vista ampliada de la gráfica.
| \(x\) | \(f(x)\) |
| \(10\) | \(-0.0544\) |
| \(20\) | \(0.0456\) |
| \(30\) | \(-0.0329\) |
| \(40\) | \(0.0186\) |
| \(50\) | \(-0.0052\) |
| \(60\) | \(0.0050\) |
| (\70\) | \(0.0110\) |
| \(80\) | \(-0.0124\) |
| \(90\) | \(0.0099\) |
| \(100\) | \(0.0050\) |
Tabla 2.- Puntos de la gráfica.
Desplazando la ventana de la gráfica es mucho más fácil ver que los valores de la función sí se acercan a cero a medida que \(x\a\infty\). Ahora puedes decir que
\[\lim_{x\to\infty}f(x)=0.\]
Veamos otro ejemplo.
Es importante combinar gráficas y tablas cuando se trata de hallar el límite en el infinito. Por ejemplo, si tomas la función \(f(x)=\sin x,\) puedes hacer la siguiente tabla de valores:
| \(x\) | \(\sin(x)\) |
| \(0\) | \(0\) |
| \(10pi) | \(0\) |
| \(100 pulg.) | \(0\) |
| \(1000 pulg.) | \(0\) |
Tabla 3.- Tabla de valores de la función. podría hacerte creer que el límite en el infinito es cero. Sin embargo, si graficas la función, puedes ver que \(f(x)=\sin x\) sigue oscilando independientemente de lo grandes que sean los valores de \(x\). Así que mirar una tabla puede ser engañoso si no tienes cuidado al elegir los valores de \(x\) que pones en ella. Sabiendo lo que sabes sobre la función seno, puedes afirmar con seguridad que\[\lim_{x\to\infty}\sin x\]no existe.
Ejemplos de límites infinitos
Existe un nombre especial para cuando existe el límite en el infinito o el límite en el infinito negativo de una función.
Si
\[\lim_{x\to\pm\infty}f(x)=L,\]
donde \ (L\) es un número real, decimos que la recta \ (y=L\) es una asíntota horizontal de \ (f(x)\).
Ya has visto ejemplos en Cálculo de funciones con asíntotas horizontales, esto sólo es darte una definición matemática precisa. Veamos un ejemplo.
¿La función
\[f(x)=\left(\frac{2}{x}+1\right)\left(\frac{5x^2-1}{x^2}\right)\]
¿tiene una asíntota horizontal? Si es así, halla la ecuación correspondiente.
Solución
Esta función no parece muy divertida en su forma actual, así que démosle un denominador común y convirtámosla primero en una fracción,
\[\begin{align}f(x)&=\left(\frac{2}{x}+1\right) \left(\frac{5x^2-1}{x^2}\right)\\&=\left(\frac{2+x}{x}\right)\left(\frac{5x^2-1}{x^2}\right)\\&=\frac{(2+x)(5x^2-1)}{x^3} .\end{align}\]
Si lo miras, puedes ver que la mayor potencia del numerador es igual a la mayor potencia del denominador. Multiplicando el numerador y dividiéndolo por el denominador se obtiene
\[\begin{align} f(x)&=\frac{(2+x)(5x^2-1)}{x^3}\\&=\frac{10x^2-2+5x^3-x}{x^3}\\&=\frac{5x^3+10x^2-x-2}{x^3}\\&=5+\frac{10}{x}-\frac{1}{x^2}-\frac{2}{x^3}.\end{align}\]
Utilizando lo que sabes sobre polinomios, puedes ver que, de hecho, esta función tiene la propiedad de que
\[\lim_{x\to\infty}f(x)=5,\]
y que
\[\lim_{x\to-\infty}f(x)=5,\]
por lo que esta función tiene \(y=5\) como asíntota horizontal.
Para una revisión del comportamiento de las funciones polinómicas, consulta Funciones polinómicas.
Las funciones racionales tienen propiedades útiles,
Si \(r>0\) es un número racional tal que \(x^r\) está definido para todo \(x>0\), entonces
\[\lim_{x\to\infty}\frac{1}{x^r}=0.\]
Para la función
\[f(x)=\frac{1}{\sqrt[3]{x^2}}\]
halla
\[\lim_{x\to\infty}f(x).\]
Solución
Utilizando la Profundización anterior, con \(r=frac{2}{3}\), como \(x^r\) está definida para todo \(x>0\) sabes que
\[|comienza{align} \lim_{x\to\infty}f(x) &=\lim_{x\to\infty}\frac{1}{\sqrt[3]{x^2}} \\ &=lim_{x\to\infty}\frac{1}{x^r}\ &=0. \end{align}\]
Reglas de los límites en el infinito
De forma similar a las Leyes de los Límites, hay propiedades de los límites que es útil conocer al observar \(x\toinfty\).
Supongamos que \(L\), \(M\) y \(k\) son números reales, siendo \(f\) y \(g\) funciones tales que
\[\lim_{x\to\pm\infty}f(x)=L\quad \text{and}\quad \lim_{x\to\pm\infty}g(x)=M.\]
Entonces se cumple lo siguiente,
Regla de la suma. \[\lim_{x\to\pm\infty}(f(x)+g(x))=L+M.\]
Regla dela diferencia. \[\lim_{x\to\pm\infty} (f(x)-g(x))=L-M.\]
Regladel producto. \Regla del producto. [Límite de x a infty (f(x) y g(x)) = L y M].
Regla múltiple constante. \Limite de x a infty, k de f(x) = k de L.
Regla del cociente. Si \(M\neq 0\), entonces
\[\lim_{x\to\pm\infty}\frac{f(x)}{g(x)}=\frac{L}{M}.\]
Regla de la potencia. Si \(r,s\in\mathbb{Z}\), con \(s\neq 0\), entonces
\[\lim_{x\to\pm\infty}(f(x))^{\frac{r}{s}}=L^{\frac{r}{s}},\]
siempre que \(L^{{frac{r}{s}}) sea un número real y \(L>0\) cuando \(s\) sea par.
¿Puedes aplicar la regla del cociente anterior para hallar
\[\lim_{x\a\infty}\dfrac{5x+\sin x}{x}? \]
Solución
Si intentas tomar \(f(x)=5x+sin x\) y \(g(x)=x\), entonces ambas funciones tienen un límite infinito en el infinito, por lo que no puedes aplicar la Regla del Cociente. En su lugar, puedes hacer primero un poco de álgebra,
\[\Ncomienza{align} \frac{5x+\sin x}{x} &=\frac{5x}{x}+\frac{1}{x}{sin x\\} &=5+\frac{1}{x}{sin x. \end{align}\}].
Si tomas \(f(x)=5\) y \(g(x)=\frac{1}{x}sin x\), sabes por el trabajo anterior que
\[\lim_{x\to\infty}f(x)=\lim_{x\to\infty}5=5,\]
y
\[\lim_{x\to\infty}\frac{1}{x}\sin(x)=0,\]
por lo que puedes utilizar la Regla de la Suma para obtenerlo,
\[\begin{align} \5+frac{1}{x}{sin x}{x} &=5+0 &=5. \end{align}\}]
Así que no, no puedes usar la Regla del Cociente, pero puedes usar un poco de álgebra y luego la Regla de la Suma para hallar el límite.
Uno de los resultados más importantes sobre los límites, el Teorema del Apriete, también es válido para los límites en el infinito.
Teorema del estrujamiento para límites en el infinito. Supongamos que
\[g(x)\le f(x)\le h(x),\]
y
\[\lim_{x\to\pm\infty}g(x)=\lim_{x\to\pm\infty}h(x)=L,\]
entonces
\[\lim_{x\to\pm\infty}f(x)=L.\]
Observa que en realidad sólo es importante que \(g(x)\le f(x) \le h(x)\) sea cierto para valores \(x\) muy grandes si intentas encontrar el límite como \(x\toinfty\), o que sea cierto para valores muy negativos si intentas encontrar el límite como \(x\to -\infty.\)
Volviendo a \[f(x)=\frac{1}{x}\sin x,\]
sabes que para valores grandes de \(x\),
\[-\frac{1}{x}<\frac{1}{x}\sin x<\frac{1}{x}.\]
Además,
\[\lim_{x\to\infty}\frac{1}{x}=0.\]
Por tanto, por el Teorema del Apriete sabes que
\[\lim_{x\to\infty}\frac{1}{x}\sin x=0.\]
Veamos otro ejemplo.Encuentra
\[\lim_{x\to\infty}\frac{\cos(2x)\sin(x^2)+3\sin x-\cos x}{x}\]
si existe.
Solución
A primera vista, este problema puede parecer difícil, pero recuerda que las funciones seno y coseno siempre están acotadas entre \(-1\) y \(1\), lo que significa que su producto también está acotado entre \(-1\) y \(1\). Es decir
\[-5<cos(2x)\sin(x^2)+3\sin x-\cos x<5.\]
Esto se debe a que
\[\begin{align} -1<cos(2x)\sin(x^2)<1, \\ -3<3\sin x<3,\end{align} \]
y
\[ -1<cos x<1,\]
y puedes tomar sus valores más positivos y más negativos para obtener un límite superior y otro inferior. Así que ya lo sabes,
\[\frac{-5}{x}<\frac{\cos(2x)\sin(x^2)+3\sin x-\cos x}{x}<\frac{5}{x}\]
para valores grandes de \(x\), y puedes aplicar el Teorema del Apriete para obtener que
\[\lim_{x\to\infty}\frac{\cos(2x)\sin(x^2)+3\sin x-\cos x}{x}=0.\]
Límites de las funciones trigonométricas en el infinito
Puede que te preguntes cuáles son los límites de las funciones trigonométricas. En los apartados anteriores hay ejemplos relacionados con las funciones seno y coseno. Los mismos conceptos pueden aplicarse a cualquier función trigonométrica, función trigonométrica inversa o función trigonométrica hiperbólica. Consulta los artículos Funciones trigonométricas, Funciones hiperbólicas, Funciones inversas y Funciones trigonométricas inversas para más detalles y ejemplos.
Límites infinitos - Puntos clave
Decimos que una función \(f(x)\) tiene un límite en el infinito si existe un número real \(L\) tal que para todo \(\epsilon >0\), existe \(N>0\) tal que
\para todo \f(x)-L|<N), y escribimos \f(x)-L=L.L].
Decimos que una función \(f(x)\) tiene un límite infinito en el infinito, y escribimos \[\lim_{x\to\infty}f(x)=\infty,\].
si para todo \(M>0\) existe un \(N>0\) tal que \(f(x)>M\) para todo \(x>N.\)
If \[\lim_{x\to\pm\infty}f(x)=L\]
donde \ (L\) es un número real, decimos que la recta \ (y=L\) es una asíntota horizontal de \ (f(x).\)
Como en el caso de los límites de funciones, las reglas de la suma, el producto, la diferencia, la constante y el cociente son válidas para los límites en el infinito.
Teorema del estrujamiento para límites en el infinito. Supongamos que \[g(x)\le f(x)\le h(x),\] and \[\lim_{x\to\pm\infty}g(x)=\lim_{x\to\pm\infty}h(x)=L,\]
entonces \[\lim_{x\topm \infty}f(x)=L,\}