¿Sabías que el primer registro de números primos se remonta al año 300 a.C. en la antigua Grecia? Lo descubrió un matemático griego llamado Euclides de Alejandría, que demostró que existen infinitos números primos.
En este artículo conoceremos un concepto relacionado con los números primos llamado factorización de los primos. La idea gira en torno al hecho de que cualquier número entero puede expresarse como el producto de un conjunto de números primos. Aquí veremos cómo los factores primos pueden tratarse como el "bloque de construcción" o fundamento de un número entero dado, así comométodos para factorizar números enteros en sus factores primos y, por último, ejemplos de aplicación de la factorización de números primos.
Definición de la factorización de números primos
En primer lugar, recuerda la definición de número primo.
Un número primo es un número entero que tiene precisamente dos factores, \(1\) y el propio número. Ejemplos de números primos son \(2\), \(3\), \(5\), \(7\), \(11\), \(13\), etc.
Recuerda ahora la definición de factor.
Un factor de un número entero dado es aquel que divide al número sin dejar resto. En otras palabras, los factores de un número dividen completamente al número.
Con estas dos definiciones, empezaremos por refrescar nuestra memoria sobre la búsqueda de los factores de un número dado. De este modo, podremos introducirnos en el tema y utilizarlo como puente entre este concepto y los números primos. Como ejemplo, deduzcamos los factores de \(14\). Este número puede escribirse como el producto de los siguientes pares de números.
\1 veces 14 = 14\].
\2 veces 7 = 14].
Todos los números que aparecen en estos dos productos de \(14\) son sus factores. Así, los factores de \(14\) son \(1\), \(2\), \(7\) y \(14\). Si observas esta lista de factores, verás que los números \(2\) y \(7\) son números primos. Esto nos lleva a la definición de factor primo.
Un factor primo es un factor de un número dado que también es un número primo.
Como hemos visto antes, podemos expresar un número como producto de dos números. Sin embargo, también podemos representar un número como producto de sus factores primos. Esto se conoce como factorización primaria.
Lafactorización primaria es el proceso de escribir un número como producto de sus factores primos.
En esencia, lo que estamos haciendo aquí es descomponer un número en términos de sus factores primos. ¿No es estupendo?
Ejemplos de factorizaciones primos de un número
La tabla siguiente muestra algunos ejemplos de números expresados en su forma de factorización en primos. Esto es sólo para darte una idea más clara de cómo es esta representación. No te preocupes todavía por el proceso. Lo veremos en el siguiente apartado.
| Número | Forma de factorización de primos |
| \(16\) | \(2 veces 2 veces 2 veces 2 veces 2 = 2^4) |
| \(27\) | \(3 veces 3 veces 3 = 3^3) |
| \(45\) | \(3 veces 3 veces 5 = 3^2 veces 5) |
| \(64\) | \(2 veces 2 veces 2 veces 2 veces 2 veces 2 veces 2 veces 2 veces 2 = 2^6) |
| \(86\) | \(2 veces 43) |
| \(99\) | \(3 veces 3 veces 11 = 3^2 x 11) |
| \(144\) | \(2 veces 2 veces 2 veces 2 veces 3 veces 3 veces 3 = 2^4 veces 3^2) |
| \(322\) | \(2 veces 7 veces 23) |
| \(1025\) | \(5 veces 5 veces 41 = 5^2 veces 41) |
Factores primos vs. Factores
La principal diferencia entre factores y factores primos es simplemente el tipo de número en cada forma de factorización. Los factores son esencialmente cualquier número que divide completamente a otro número sin dejar ningún resto. Estos factores incluyen tanto los números compuestos como los números primos.
Un número compuesto es un número entero que tiene más de dos factores.
Los factores primos de un número dado son factores que son a la vez divisores y se clasifican como números primos. Cuando consideramos la factorización en factores primos de este número, significa que no podemos descomponer su forma factorizada en más números (puesto que ya no es un número compuesto).
Métodos de descomposición en factores primos
Hay dos formas de determinar la factorización en factores primos de un número dado. Estas dos técnicas se enumeran a continuación.
Método de división
Método del árbol de factores
En esta sección trataremos cada técnica por separado y presentaremos varios ejemplos que demuestran cada método.
Método de la división
Empecemos por el método de la división. Esta técnica consta de cuatro pasos.
Divide el número dado por el número primo más pequeño;
Este número primo más pequeño debe dividir completamente el número.
Divide de nuevo el cociente del Paso 1 por el número primo más pequeño;
Repite el Paso 2 hasta que el cociente sea igual a 1;
Multiplica todos los factores primos resultantes.
Estos números primos son los divisores del dividendo del Paso 1 y cocientes de los Pasos 2 a 3.
Observaremos ahora algunos ejemplos que muestran este método.
Encuentra la factorización en primos de 56 utilizando el método de la división.
Solución
Lo haremos en forma de tabla para que el método resulte más claro.
| Procedimiento | Factor primo | Resultado de la división |
| Divide \(56\) por el factor primo menor, es decir \(2\) | \(2\) | \(56 \div 2 = 28\) |
| Divide de nuevo el cociente (28) por el factor primo menor, es decir, (2). | \(2\) | \(28 \div 2 = 14\) |
| Divide de nuevo el cociente(14) por el factor primo menor, es decir, por (2). | \(2\) | \(14 \div 2 = 7\) |
| El cociente aquí es \(7\), que es un número primo. Por tanto, debemos dividirlo por sí mismo para obtener \(1\) | \(7\) | \(7 \div 7 = 1\) |
Una forma más ordenada de dibujar esta tabla es utilizando la siguiente cuadrícula.

Método de división para 56 - StudySmarter Originals
Así, la factorización en primos de \(56\) es \(56 = 2 \times 2 \times 2 \times 7 = 2^3 \times 7\).
Los factores primos de \(56\) son \(2\) y \(7\).
Halla la factorización en primos de \(999\) utilizando el método de la división.
Solución
Aplicando el mismo formato que en la tabla anterior, obtenemos
| Procedimiento | Factor primo | Resultado de la división |
| Divide \(999\) entre \(3\) | \(3\) | \(999 \div 3 = 333\) |
| Divide (333) entre (3) | \(3\) | \(333 \div 3 = 111\) |
| Divide 111¤ entre 3¤. | \(3\) | \(111\div 3 = 37\) |
| Como \(37\) es un número primo, divide \(37\) por sí mismo | \(37\) | \(37\div 37 = 1\) |
Otra forma de expresar esta tabla se ve a continuación.

Método de división para 999 - StudySmarter Originals
Así, la factorización en primos de \(999\) es \(999 = 3 \times 3 \times 3 \times 37 = 3^3 \times 37\).
Los factores primos de \(999\) son \(3\) y \(37\).
Método del árbol para lafactorización de primos
Pasemos ahora al método del árbol de factores. A continuación se enumeran los pasos de este proceso.
Escribe el número en la parte superior del árbol de factores;
Expresa el número como producto de dos factores que se ramifican en el árbol;
ramifica aún más cada uno de los factores hallados en el Paso 2 como producto de dos factores;
Repite el Paso 3 hasta que no podamos ramificar cada factor. En este punto, debe escribirse como factor primo;
Por último, define el número dado como un compuesto de sus factores primos en forma de exponente.
Veamos ahora algunos ejemplos trabajados con este método.
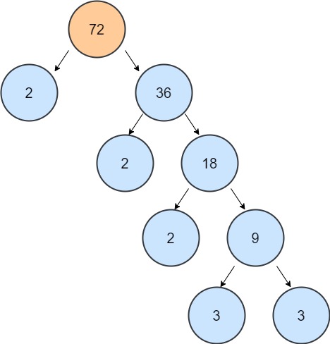
Encuentra la factorización en primos de \(72\) utilizando el método del árbol factorial.
Solución
Primero factoricemos \(72\) como producto de dos números, digamos \(2\) y \(36\). A partir de aquí, podemos seguir factorizando \(36\) como producto de \(2\) y \(18\). El número \(2\) es primo y ya no se puede descomponer más. Así que podemos dejar esta rama.
De nuevo, podemos ramificar \(18\) como producto de \(2\) y \(9\). Repitiendo este proceso para \(9\), tenemos dos ramas de \(3\). Como \(3\) es un primo, podemos detenernos aquí. Para visualizarlo, dibujémoslo como un árbol de factores.

Método del árbol factorial para 72 - StudySmarter Originals
Así, la factorización en primos de \(72\) es \(72 = 2 \times 2 \times 2 \times 3 \times 3 = 2^3 \times 3^2\).
Los factores primos de 72 son 2 y 3.
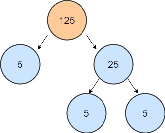
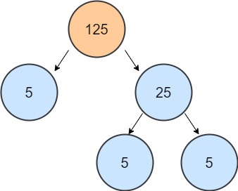
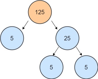
Encuentra la factorización en primos de \(125\) utilizando el método del árbol factorial.
Solución
Aplicando el mismo concepto que en el ejemplo anterior, obtenemos el siguiente árbol factorial para \(125\).
Aquí, primero factorizamos \(125\) como producto de \(5\) y \(25\). \(5\) es un primo y ya no se puede descomponer, así que podemos dejar esta rama. A partir de aquí, podemos ramificar \(25\) como producto de \(5\) y \(5\). Como \(5\) es un primo, podemos detener aquí nuestro árbol.

Método del árbol factorial para 125 - StudySmarter Originals
Por tanto, la factorización en primo de \(125\) es \(125 = 5 \times 5 \times 5 = 5^3\).
El único factor primo de \(125\) es \(5\).
Aplicaciones de la factorización en primos
La factorización en primos es una herramienta muy útil para encontrar patrones y relaciones entre factores y múltiplos de un conjunto dado de números. Resulta útil cuando se trata de dígitos más grandes. Podemos utilizar este concepto para hallar lo siguiente:
Máximo común divisor (MCD)
Mínimo común múltiplo (MCP)
Identificar el número total de factores
En este apartado se tratarán en detalle estas tres aplicaciones principales de la factorización de primos, junto con algunos ejemplos prácticos para cada caso.
Máximo factor común (MCH)
Identificando la factorización en primos de dos números dados, podemos deducir su máximo factor común (MCH). Dada una pareja de números, digamos x e y, debemos encontrar primero la factorización prima de cada número. El HCF de x e y es el producto de la potencia más pequeña de cada factor primo común. Vamos a mostrarlo con un ejemplo.
Puedes encontrar más información sobre este tema en el artículo Máximo común divisor.
Halla el HCF de \(60\) y \(96\).
Solución
Busquemos primero la factorización en primos de \(60\) y \(96\). Ten en cuenta que aquí puedes utilizar cualquiera de los dos métodos. Para este ejemplo, utilizaremos el método de la división.
Factorización primitiva de \(60\).

Método de división para 60 - StudySmarter Originals
\[60 = 2 \times 2 \times 3 \times 5 = 2^2 \times 3 \times 5\]
Los factores primos de \(60\) son \(2\), \(3\) y \(5\).
Factorización primitiva de \(96\).

Método de división para 96 - StudySmarter Originals
\[96 = 2 \times 2 \times 2 \times 2 \times 2 \times 3 = 2^5 \times 3\]
Los factores primos de \(96\) son \(2\) y \(3\).
El HCF es el producto de la potencia más pequeña de cada factor primo común. Los factores primos comunes de \(60\) y \(96\) son \(2\) y \(3\). Por tanto
\text{HCF}(60, 96) = 2^2 \times 3^1 = 4 \times 3 = 12\].
Por tanto, el máximo común divisor entre \(60\) y \(96\) es \(12\).
Mínimo común múltiplo (MCP)
Además, también podemos determinar el mínimo común múltiplo (MCP) compartido entre dos números utilizando la factorización en primos. De nuevo, debemos encontrar la factorización en primos de un par de números dado, digamos \(x\) y \(y\). El LCM de \(x\) y \(y\) es el producto de la mayor potencia de cada factor primo común. Aquí tienes un ejemplo para demostrarlo.
Puedes encontrar más información sobre este tema en el artículo: Mínimo Común Múltiplo.
Halla el LCM de \(78\) y \(152\).
Solución
Busquemos primero la factorización en primos de \(78\) y \(152\). Ten en cuenta que aquí puedes utilizar cualquiera de los dos métodos. Para este ejemplo, utilizaremos el método de la división.
Factorización primitiva de \(78\).

Método de división para 78 - StudySmarter Originals
\78 = 2 veces 3 veces 13].
Los factores primos de \(78\) son \(2\), \(3\) y \(13\).
Factorización primitiva de \(152\).

Método de división para 152 - StudySmarter Originals
\[152 = 2 \times 2 \times 2 \times 19 = 2^3 x 19\]
Los factores primos de \(152\) son \(2\) y \(19\).
El mcm es el producto de la mayor potencia de cada factor primo común. El único factor primo común entre \(78\) y \(152\) es \(2\). Por tanto
\[\text{LCM}(78, 152) = 2^3 = 8\]
Por tanto, el mínimo común múltiplo entre \(78\) y \(152\) es \(8\).
Hallar el número de factores
También podemos utilizar la factorización en primos para deducir el número de factores de un número dado. Observa que es posible utilizar tanto el método del árbol de factores como el método de la división para realizar esta tarea. Sin embargo, en la mayoría de los libros de texto, el método del árbol de factores es la opción más común para esta tarea. A continuación se indican los cuatro pasos de este método.
Encuentra la factorización en primos del número dado utilizando el método del árbol de factores (o el método de la división);
Expresa este producto de primos hallado en su forma de exponente correspondiente;
Suma 1 a cada exponente;
Multiplica los números hallados en el Paso 3. El resultado es el número de factores del número dado.
Para demostrarlo, veamos el siguiente ejemplo práctico.
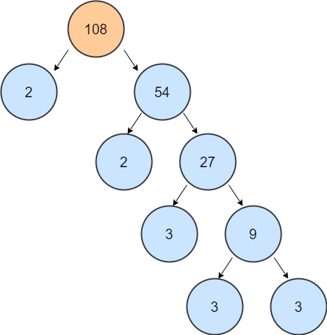
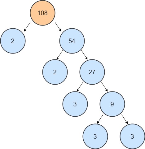
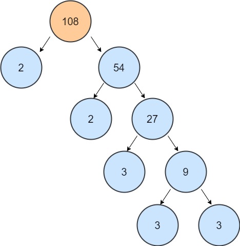
Halla el número de factores del número \(108\).
Solución
Utilicemos el método del árbol de factores para hallar la factorización en primos de \(108\).

Método del árbol de factores para 108 - StudySmarter Originals
Así, la factorización en primos de \(108\) es \(108 = 2 \times 2 \times 3 \times 3 \times 3\).
En forma de exponente, obtenemos \(108 = 2^2 \times 3^3\).
Aquí tenemos los siguientes valores de exponentes.
Exponente para \(2 = 2\)
Exponente para \(3 = 3\)
Ahora, sumando \(1\) a cada uno de estos exponentes se obtiene
Exponente de \(2 + 1 = 3\)
Exponente de \(3 + 1 = 4\)
Multiplicando estos números, obtenemos
\3 veces 4 = 12
Por tanto, el número \(108\) tiene \(12\) factores.
Comprueba
Veamos si nuestro resultado es correcto. Utilizando el método de la multiplicación, podemos escribir 108 como los siguientes productos de dos números.
\1 veces 108 = 108].
\2 veces 54 = 108].
\3 veces 36 = 108].
\4 veces 27 = 108
\6 veces 18 = 108 veces]
\9 veces 12 = 108 veces]
Los factores de \(108\) son \(1\), \(2\), \(3\), \(4\), \(6\), \(9\), \(12\), \(18\), \(27\), \(36\), \(54\) y \(108\). Por tanto, el número \(108\) tiene un total de \(12\) factores, como se ha declarado.
Ejemplos prácticos
Aquí tienes otros ejemplos prácticos que demuestran las dos técnicas de factorización de primos. Aplicaremos ambos métodos en los siguientes ejemplos para comprender mejor cada enfoque.
Halla la factorización en primos de \(320\).
Método de división

Método de división para 320 - StudySmarter Originals
\[320 = 2 \times 2 \times 2 \times 2 \times 2 \times 5 = 2^6 \times 5\]
Método del árbol de factores

Método del árbol de factores para 320 - StudySmarter Originals
\[320 = 2 \times 2 \times 2 \times 2 \times 2 \times 5 = 2^6 \times 5\]
¡Los resultados son los mismos!
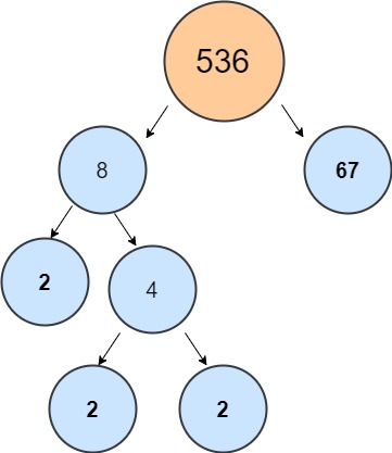
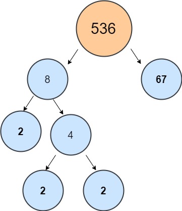
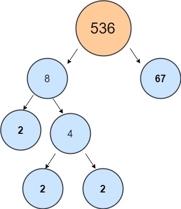
Encuentra la factorización en primos de \(536\).
Método de división

Método de división para 536 - StudySmarter Originals
\[536 = 2 \times 2 \times 2 \times 67 = 2^3 \times 67\]
Método del árbol de factores

Método del árbol de factores para 536 - StudySmarter Originals
\[536 = 2 \times 2 \times 2 \times 67 = 2^3 \times 67\]
¡Los resultados son los mismos!
Factorización de números primos - Puntos clave
- La factorización de números primos es el proceso de escribir un número como producto de sus factores primos.
- Método de división para la factorización de números primos
Divide el número dado por el número primo más pequeño;
Divide de nuevo el cociente del Paso 1 entre el número primo más pequeño;
Repite el Paso 2 hasta que el cociente sea igual a \(1\);
Multiplica todos los factores primos resultantes.
- Método del árbol de factores para la factorización de números primos
Escribe el número en la parte superior del árbol de factores;
Expresa el número como producto de dos factores que se ramifican en el árbol;
Continúa ramificando cada uno de los factores hallados en el Paso 2 como producto de dos factores;
Repite el Paso 3 hasta que no podamos ramificar cada factor;
Define el número dado como un compuesto de sus factores primos en forma de exponente.
- El HCF de dos números es el producto de la potencia más pequeña de cada factor primo común.
- El mcm de dos números es el producto de la mayor potencia de cada factor primo común.
- Hallar el número de factores de un número mediante la factorización en primos
Encuentra la factorización en primos del número dado;
Expresa este producto de primos hallado en su forma de exponente correspondiente;
Suma 1 a cada exponente;
Multiplica los números hallados en el Paso 3. El resultado es el número de factores del número dado.