Lasoperaciones con polinomios comprenden todas las operaciones aritméticas que puedes realizar con polinomios, incluidas la suma, la resta, la multiplicación y la división.
Ahora te mostraremos los distintos métodos disponibles para resolver operaciones aritméticas con polinomios.
Sumar o restar polinomios
Hay dos métodos diferentes que puedes utilizar para sumar o restar polinomios, que son el horizontal y el vertical.
Método horizontal
Para sumar polinomios horizontalmente, puedes utilizar la propiedad distributiva para combinar términos semejantes de modo que acabes con un solo término por cada exponente, así:
Sumalos polinomios y.
Al sumar polinomios no necesitamos utilizar paréntesis porque la suma no cambia los signos con la propiedad distributiva, así que podemos eliminar los paréntesis como se muestra a continuación. Ahora puedes combinar términos semejantes
El polinomio resultante es
Método vertical
El método vertical consiste en apilar los polinomios uno sobre otro para que puedas ver más fácilmente los términos semejantes. En este caso, tienes que completar los términos que faltan suponiendo que tienen coeficiente cero (0):
+

Puedes ver que el resultado es el mismo que antes, pero este método te proporciona una forma más organizada de identificar los términos semejantes y evita confusiones.
Para restar polinomios, puedes seguir los mismos métodos, pero recuerda tener cuidado con los signos. Para evitar errores al restar polinomios, cambia los signos de todos los términos del segundo polinomio, y luego suma términos iguales como antes.
Cambiar los signos de todos los términos de un polinomio se llama hallar su inverso aditivo.
Ahora restaremos los mismos polinomios que hemos utilizado en el ejemplo anterior:
Resta los polinomios y .
Método horizontal
Cambia los signos de todos los términos del segundo polinomio.
Combina los términos semejantes.
Método vertical
Cambia los signos del segundo polinomio

Suma términos semejantes.
Multiplicar polinomios
Para multiplicar polinomios también puedes seguir un método horizontal y otro vertical. Aquí tienes un ejemplo de multiplicación de dos polinomios utilizando ambos métodos.
Multiplica y utilizando los métodos horizontal y vertical.
Método horizontal
Multiplica cada término del primer polinomio por el segundo polinomio (propiedad distributiva)
Expande los paréntesis y combina los términos semejantes
Método vertical
______________
Multiplica por
Multiplica por
______________
Sumar términos semejantes
Independientemente del método que utilices, ¡deberías obtener el mismo resultado!
Dividir polinomios
Para dividir polinomios puedes utilizar los métodos de la división larga o de la división sintética.
Método de la división larga
Aquí tienes un ejemplo de los pasos que debes seguir para dividir polinomios utilizando el método de la división larga.
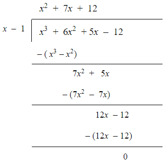
Divide por utilizando la división larga.
Antes de empezar, tenemos que identificar cada parte de la división. es el dividendo, es el divisor, y el resultado se llama cociente. Lo que quede al final es el resto.
Recuerda completar los términos que falten en el dividendo con el coeficiente cero, de modo que el polinomio quede en orden decreciente de exponentes.
- En primer lugar, divide el primer término del dividendo por el primer término del divisory luego pon el resultado como primer término del cociente.
- Multiplica el primer término del cociente por los dos términos del divisor, y coloca los resultados bajo el dividendo alineados con su exponente correspondiente.
- Resta los términos semejantes, teniendo cuidado con los signos.
- Baja el siguiente término del polinomio (dividendo).
- Repite los pasos 1 - 4 hasta que el grado de la expresión del resto sea menor que el del divisor.

Completa los términos que faltan con el coeficiente cero.
Resta los términos semejantes.
Baja 0x.
Resta términos iguales.
Baja -36.
Resta términos iguales.
El resto es cero.
El resultado se puede expresar de la siguiente manera: .
Método de división sintética
Ahora resolveremos el mismo ejemplo anterior utilizando la división sintética.
Divide por utilizando la división sintética.
Puedes utilizar la división sintética en este caso, porque el divisor es una expresión lineal (de grado 1).
El Teorema del Resto afirma que si un polinomio se divide por entonces el resto . Por tanto, podemos resolver esta división evaluando el polinomio (dividendo) mediante sustitución sintética cuando .
Si necesitas refrescar cómo evaluar polinomios utilizando este método, consulta el artículo sobre Evaluación y representación gráfica de polinomios.
- El divisor es por lo que evaluamos el dividendo cuando .

- Baja el coeficiente principal por debajo de la línea horizontal. Multiplica el coeficiente principal por el valor de x. Escribe el resultado de la multiplicación justo debajo del coeficiente siguiente. A continuación, suma los valores de la segunda columna teniendo en cuenta sus signos.

- Multiplica el resultado de la suma por el valor de x, y pon el resultado de la multiplicación justo debajo del coeficiente siguiente. A continuación, suma los valores teniendo en cuenta sus signos. Repite este paso para todos los coeficientes.


El valor final por debajo de la línea horizontal será el valor de .
por lo que el resto de la división es cero (0).
El resultado es : .
El grado del polinomio del cociente será uno menos que el grado del polinomio del dividendo.
Cómo factorizar polinomios
Factorizar polinomios consiste en reescribir polinomios como producto de dos o más términos más sencillos. Debes abordar estos problemas de forma diferente, dependiendo del grado del polinomio y del coeficiente del término de mayor potencia:
Factor .
Encuentra los factores de 6 que al multiplicarlos sean igual a +6 y al sumarlos sean igual a +5. En este caso, los factores que cumplen los requisitos son 2 y 3.
Ahora, para encontrar las soluciones que hacen que la ecuación anterior sea igual a cero, tenemos que considerar la propiedad del producto cero.
La propiedad del producto cero establece que si entonces o o ambos.
Por tanto, tenemos que hacer que cada factor de igual a cero, y resolver para x.
Factoriza .
1. Multiplica el coeficiente de y la constante.
2. Encuentra los factores de 30.
Si el signo de la constante es positivo, tienes que encontrar los factores de 30 que dan el coeficiente de x cuando se suman. Si el signo de la constante es negativo, tienes que incluir los factores de 30 que dan el coeficiente de x cuando se restan.
Los factores de 30 que dan 13 al sumarlos son 3 y 10.
3. Copia el término y la constante como en el polinomio original, y entre estos términos, añade los factores hallados en el paso anterior.
4.
Factoriza agrupando los dos primeros términos
y los dos últimos términos
.
Saca los factores comunes de ambos grupos.
Ahora que los términos entre paréntesis coinciden, sacacomo factor común. Haz que cada factor en igual a cero, y resuelve para x.
Las dos soluciones son
y
.
- Si el grado es mayor que 2: En este caso, puede que tengas que sacar los factores comunes, si es posible, y también utilizar el factor por agrupación.
Factor .
x es un factor común.
Sigue ahora los pasos del caso anterior cuando el grado sea 2, y el coeficiente de no es 1.
Los factores de 24 que dan 11 al sumarlos son 3 y 8.
Ahora factoriza agrupando la expresión dentro del paréntesis.
Haz que cada factor de igual a cero, y resuelve para x.
Las soluciones sony.
¿Cómo se simplifican los polinomios?
Para simplificar expresiones algebraicas fraccionarias que contengan polinomios, tienes que factorizar el numerador y el denominador, y luego cancelar los factores comunes.
Simplifica las siguientes fracciones:
- Anula el factor común .
Anula el factor común .
Anula el factor común .
Los factores de 12 que dan 7 al sumarlos son 3 y 4.
Ahora factoriza agrupando y saca los factores comunes.
Volviendo a la fracción
Anulando el factor común.
Cómo utilizar el teorema del factor con polinomios
El teorema del factor puede utilizarse para acelerar el proceso de factorización. Establece que si sustituyes un valor p en una función polinómica f(x) y da cero como resultado f(p) = 0, entonces puedes decir que (x - p) es un factor de f(x).
Es especialmente útil en el caso de polinomios cúbicos, y puedes proceder como sigue:
- Demuestra que es un factor de .
es efectivamente un factor de
- Demuestra que es un factor de .
Divide f (x) por (x - p)

Escribe f (x) como
Factoriza la cuadrática restante
Haz que cada factor de igual a cero, y resuelve para x.
Las soluciones son , y .
Operaciones con polinomios - Puntos clave
- Para sumar, restar y dividir expresiones polinómicas, completa los términos que falten suponiendo que tienen coeficiente cero.
- Para sumar, restar y multiplicar polinomios, puedes seguir los métodos horizontal o vertical.
- Para dividir polinomios, puedes utilizar los métodos de división larga o división sintética.
- La factorización de polinomios consiste en reescribirlos como producto de dos o más términos más sencillos.
- Para simplificar expresiones algebraicas fraccionarias que contengan polinomios, factoriza el numerador y el denominador, y luego cancela los factores comunes.
- El teorema del factor puede utilizarse para acelerar el proceso de factorización, especialmente en el caso de polinomios cúbicos.