Multiplicidad
Si un polinomio p(x) tiene varias raíces en r, la multiplicidad de r se refiere al número de veces que (x - r) aparece como factor de p(x). También se llaman raíces repetidas. Por ejemplo, p(x) = (x - r)3 significa que la raíz r tiene una multiplicidad de 3.
Raíces
Las raíces de un polinomio p(x) son valores de una variable que satisfacen la ecuación p(x) = 0. También se conocen como soluciones, ceros e intersecciones x.
Además, definamos también la forma estándar y el grado de un polinomio como se indica a continuación:
Sea p(x) un polinomio de la forma
donde son los coeficientes de las variables respectivamente.
El grado de un polinomio es la mayor potencia de x en un polinomio con coeficientes distintos de cero.
Teniendo esto en cuenta, podemos establecer el siguiente teorema.
Teorema fundamental del álgebra
Si p(x) es un polinomio de grado n ≥ 1, entonces p(x) = 0 tiene exactamente n raíces, incluidas las multiplicidades y las raíces complejas.
Observa que n se refiere al mayor grado de un polinomio dado. Demostrar este teorema está fuera del alcance de este temario. Por tanto, ¡no es necesario que lo compruebes! Sin embargo, es importante que sepas aplicar este concepto a la factorización y resolución de polinomios.
Es útil recordar que el término complejo describe aquí una raíz compleja con una parte imaginaria distinta de cero, digamos, a + bi, donde a es real y b ≠ 0. Como las raíces complejas siempre vienen en pares conjugados, esto implica que a - bi también es una raíz del polinomio.
Aplicación del Teorema Fundamental del Álgebra
Apliquemos ahora el Teorema Fundamental del Álgebra. En este segmento presentaremos varios ejemplos trabajados que nos proporcionarán una comprensión más clara del concepto en relación con la factorización y la resolución de polinomios. Para simplificar, utilizaremos la abreviatura FTA para definir el Teorema Fundamental del Álgebra.
Identificación del número de raíces de un polinomio
Utilizando el TFF, determina el número de raíces del polinomio
Solución
El grado de f(x) es n = 4, por tanto, según el TLC tenemos 4 soluciones.
Utilizando el TLC, determina el número de raíces del polinomio
Solución
El grado de f(x) es n = 7, por lo que, según el TLC, tenemos 7 soluciones.
Por tanto, por FTA podemos deducir fácilmente que
un polinomio lineal (grado 1) tendrá una raíz
un polinomio cuadrático (grado 2) tendrá dos raíces
un polinomio cúbico (grado 3) tendrá tres raíces
un polinomio de enésimo grado tendrá n raíces
Identificar los ceros y el grado de una ecuación
Definamos primero una forma específica de polinomio factorizado, como se indica a continuación:
Un polinomio p(x) de la forma
puede reescribirse como un producto de factores lineales como
donde son las raíces del polinomio.
Dado el siguiente polinomio factorizado
determina el número de raíces que tiene cada ecuación y encuentra todas sus soluciones.
Solución
Fijando f(x) = 0 y utilizando la Propiedad del Producto Cero, encontramos que las raíces son
Como hay 3 raíces en total, por TLC, el polinomio debe ser de grado 3.
Dado el polinomio factorizado siguiente
determina el número de raíces que tiene cada ecuación y encuentra todas sus soluciones.
Solución
Del mismo modo que antes, encontramos que los ceros del polinomio son
Como hay 6 ceros en total, por FTA, el polinomio debe ser de grado 6.
Anteriormente habíamos mencionado que las raíces complejas siempre vienen en pares conjugados. Esto significa que los polinomios de grados pares pueden estar formados por todas las raíces reales o por todos los pares de raíces complejas (o por una combinación de ambas). En cambio, los polinomios de grados impares no pueden estar formados por todos los pares de raíces complejas. En este caso, estarán formados por una combinación de raíces reales y pares de raíces complejas (o sólo raíces reales). Lo demostraremos con los siguientes ejemplos.
Factoriza y resuelve el siguiente polinomio.
Solución
Primero fijamos f(x) = 0 como
Observa que se trata de una diferencia de dos cuadrados. Por Productos Especiales, sabemos que se convierte en
Del mismo modo, podemos factorizar como
Resolviéndolo, obtenemos
Este polinomio tiene un grado par de 4. Por tanto, tenemos 4 raíces formadas por 2 raíces reales y 2 raíces complejas conjugadas.
Factoriza y resuelve el siguiente polinomio.
Solución
Fijando f(x) = 0, tenemos
Utilizando el método de agrupación, podemos factorizarlo como
Resolviéndolo tenemos
Este polinomio tiene un grado impar de 3. Así obtenemos 3 raíces formadas por una raíz real y 2 raíces complejas conjugadas.
Hasta ahora hemos visto polinomios que pueden factorizarse como producto de factores lineales. En algunos casos, podemos encontrarnos con cuadráticos irreducibles. Una cuadrática irreducible es aquella que ya no podemos descomponer en un producto de factores lineales.
Tomemos por ejemplo los dos últimos ejemplos. Las expresiones x2 + 9 y x2 + 4 son ejemplos de cuadráticas irreducibles. Nos encontramos con que estas expresiones están formadas por un producto de 2 raíces complejas conjugadas. Toma,
La multiplicación de un par de raíces complejas conjugadas adopta la fórmula general:
Esto nos lleva a la pregunta: ¿y si la cuadrática irreducible no tiene la forma anterior? Por tanto, necesitamos encontrar un método para identificar una cuadrática irreducible. Para ello, utilizaremos el discriminante de un polinomio cuadrático. La siguiente es una regla general que debemos seguir cuando nos encontremos con tales cuadráticas.
El discriminante de una ecuación cuadrática
Para un polinomio cuadrático
el discriminante describe las raíces del polinomio. Aquí hay que considerar tres casos.
Caso 1: D > 0
p(x) puede reducirse a un producto de factores lineales. Obtendremos dos raíces reales distintas.
Caso 2: D = 0
p(x) puede reducirse aún más en un producto de multiplicidades. Obtendremos una raíz real repetida.
Caso 3: D < 0
p(x) se convierte en una cuadrática irreducible. Obtendremos dos raíces complejas conjugadas.
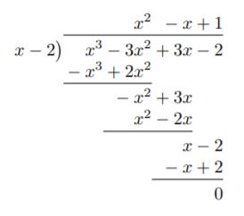
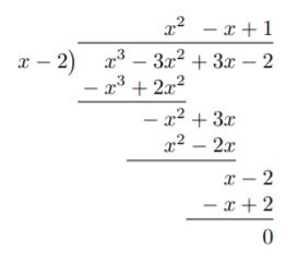
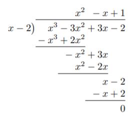
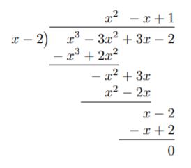
Factoriza y resuelve el siguiente polinomio.
Solución
Fijando f(x) = 0, tenemos .
Por FTA, observamos que f(x) tiene un grado de n = 3, por lo que debemos tener 3 soluciones. Utilizando la división larga, podemos factorizar f(x) como .

A partir de aquí, podemos ver que la ecuación
es una cuadrática irreducible, ya que el discriminante es menor que cero, como se indica a continuación.
Por tanto, debemos utilizar la fórmula cuadrática para resolver las dos raíces restantes como
Por tanto, tenemos una raíz real, x = 2 y un par de raíces complejas conjugadas
Construir un polinomio con el TLC
En esta sección final, mostraremos dos ejemplos trabajados que demostrarán cómo podemos utilizar el TLC para crear un polinomio a partir de una expresión dada.
Escribe una expresión algebraica en la forma polinómica estándar en la que los ceros sean 3 y -5. El polinomio tiene un grado de 3 y la raíz -5 tiene una multiplicidad de 2.
Solución
Si los ceros del polinomio, digamos f(x) son 3 y -5, entonces f(x) tendrá factores de (x - 3) y (x + 5).
También sabemos que el grado de f(x) es 3, así que, por FTA, debemos tener 3 raíces o, en otras palabras, 3 factores. Así que f(x) sería algo así
También sabemos que la multiplicidad de -5 es 2, por lo tanto, debemos tener dos factores de (x + 5). Así, obtenemos
Expandiendo esto mediante el método FOIL, tenemos la forma estándar de f(x) como
Escribe una expresión en la forma polinómica estándar en la que los ceros sean -3, -4i y 4i. La raíz -3 tiene una multiplicidad de 2. ¿Cuál es el grado de este polinomio?
Solución
Como -4i y 4i son un par de raíces complejas conjugadas, podemos utilizar el producto de dos pares complejos conjugados. Si los ceros del polinomio, digamos f(x) son -3, -4i y 4i, entonces f(x) tendrá factores de (x + 3) y (x2 + 16).
También sabemos que la multiplicidad de -3 es 2, por lo tanto, debemos tener dos factores de (x + 3). Así, obtenemos la forma completamente factorizada que aparece a continuación.
A partir del enunciado y de la forma factorizada anterior, encontramos que f(x) contiene 4 raíces: 2 raíces reales repetidas, x = -3, y un par de raíces complejas conjugadas, x = -4i y x = 4i. Así pues, por el método FOIL, f(x) debe ser de grado 4.
Expandiendo esto mediante el método FOIL, tenemos la forma estándar de f(x) como
Teorema fundamental del álgebra - Puntos clave
- El Teorema Fundamental del Álgebra afirma que un polinomio p(x) de grado n tiene n raíces cuando p(x) = 0.
- Un polinomio de la forma p(x) =an xn + ... + a1x1 + a0, puede factorizarse como un producto de factores lineales de la forma p(x) = a( x - r1) ( x - r2) ... ( x - rn) .
- Los ceros de un polinomio pueden tener forma de números reales, multiplicidades o números complejos.
- Los números complejos siempre vienen como un par de conjugados complejos.
- Un polinomio se puede factorizar en un producto de las dos formas siguientes
- un factor lineal
- un cuadrático irreducible
- Una multiplicidad es una raíz repetida, es decir, un factor que aparece más de una vez en una expresión.